EasyManua.ls Logo

dbx QUANTUM - Multiband Compressor Parameters

dbx QUANTUM
94 pages
Print Icon
To Next Page IconTo Next Page
To Next Page IconTo Next Page
To Previous Page IconTo Previous Page
To Previous Page IconTo Previous Page
Loading...
Detailed Parameters
®
30
Section 4
QUANTUM
QUANTUM User Manual
Section 4
Within the multiband compressor menu on the QUANTUM the following parameters are user
adjustable on all setups.
Compressor LOC/On/Off
Local (per band control) or global on and off.
Band 1 to 4 On/Off
Turns on or off each independent band
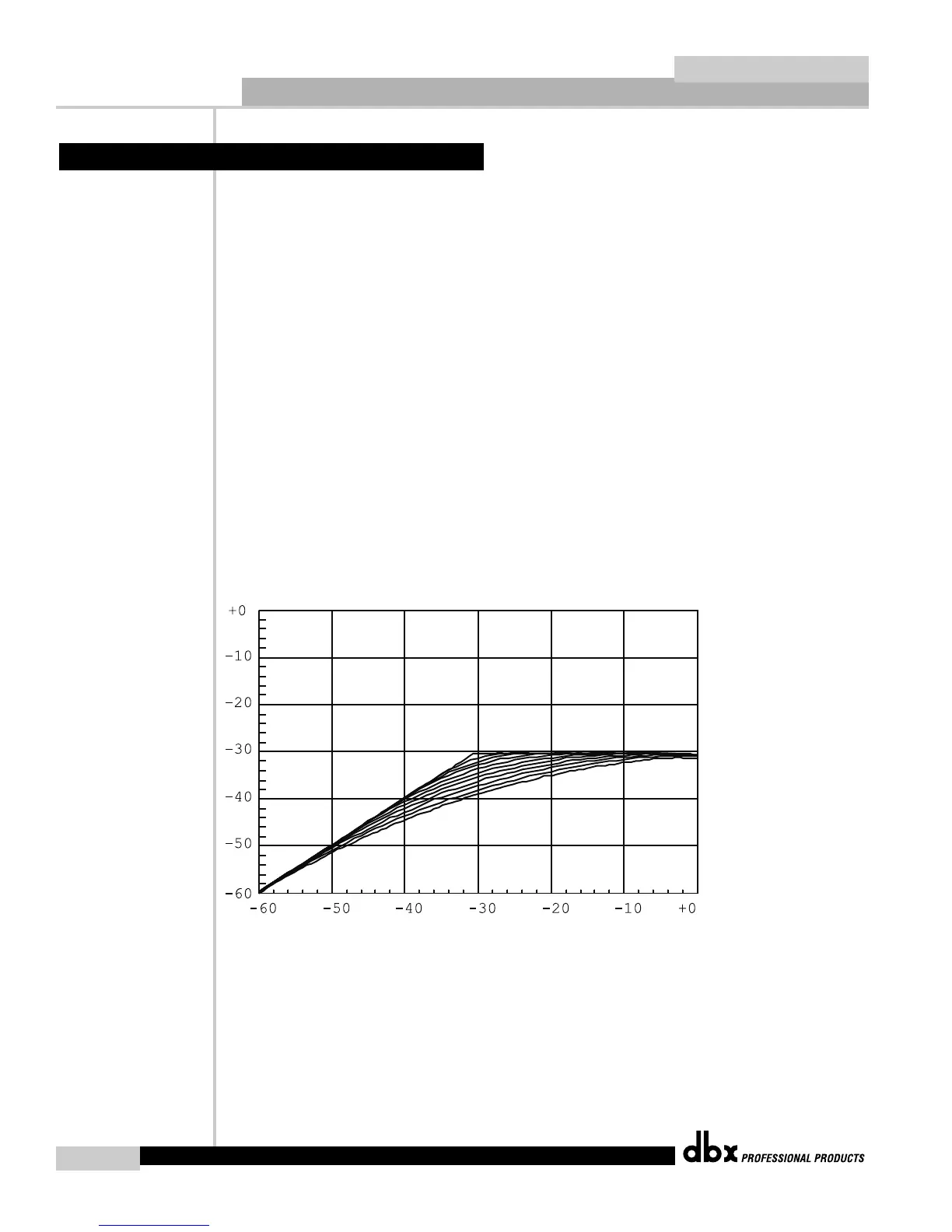
OverEasy® 1-10 (per band or global)
The point when the QUANTUM (or any compressor) starts to compress is the "knee." When the
QUANTUM starts to reduce the level of a signal abruptly right as it passes over the threshold
this is called "hard knee" compression. OverEasy® (soft knee as it is sometimes called) is when
the level of the signal is compressed gradually. OverEasy® compression starts to compress
before the level of the signal reaches the threshold and reaches full compression after the vol-
ume has gone above the threshold. This OverEasy® compression by its very nature sounds
much smoother and more natural and will be used for most applications. When it is gentle (nat-
ural sounding or light) compression that you are looking for, the QUANTUM has what we call
VariKnee™. VariKnee™ gives you ten levels of OverEasy® compression to choose from (1 being
almost hard knee and 10 being the most OverEasy®). This lets you choose the exact knee that
is needed for the dynamic effect you are looking for.
Auto LOC/On/Off and Auto On/Off
Auto can be turned on/off per band or globally. When Auto mode is on, the QUANTUM auto-
matically sets the Attack, Hold, and Release times for the signal. The auto mode constantly
adjusts these parameters in real time for optimum performance from the unit.
Fig.4.1
4.1 Multiband Compression

Table of Contents

Other manuals for dbx QUANTUM

Related product manuals