EasyManua.ls Logo

Dell E228WFPc - 5 Block Diagram; Software Flow Chart

Dell E228WFPc
83 pages
Print Icon
To Next Page IconTo Next Page
To Next Page IconTo Next Page
To Previous Page IconTo Previous Page
To Previous Page IconTo Previous Page
Loading...
22"LCD Color Monitor Dell E228WFPc
22
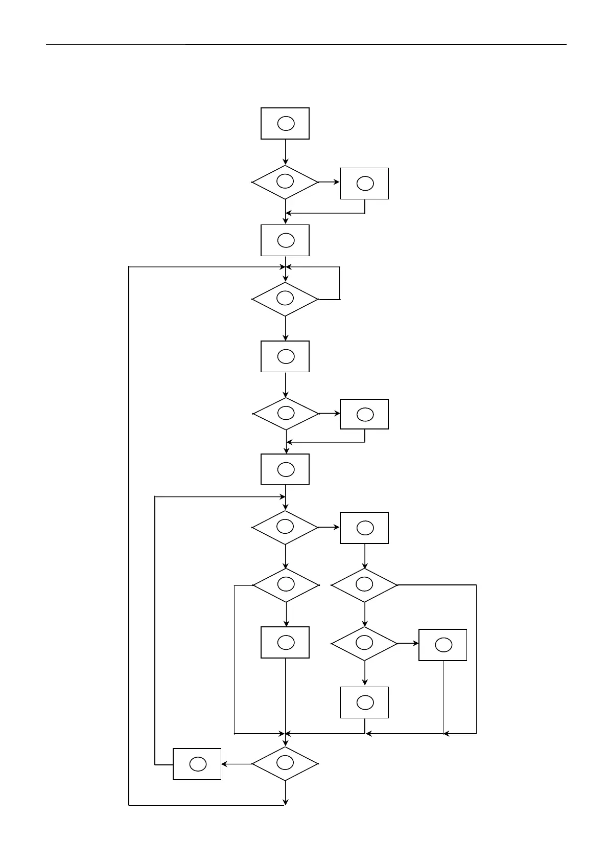
5. Block Diagram
5.1 Software Flow Chart
1
2
N
Y
5
Y
N
10
Y
N
12
Y
N
7
Y
N
6
4
3
8
9
14
11
13
Y
N
15
Y
N
16
17
19
Y
N
18

Related product manuals