EasyManua.ls Logo

Delta ASD-A2R-0221 Series - Page 176

Delta ASD-A2R-0221 Series
660 pages
Print Icon
To Next Page IconTo Next Page
To Next Page IconTo Next Page
To Previous Page IconTo Previous Page
To Previous Page IconTo Previous Page
Loading...
Chapter 6 Control Mode of Operation ASDA-A2R Series
6-24 Revision December, 2014
Time Domain
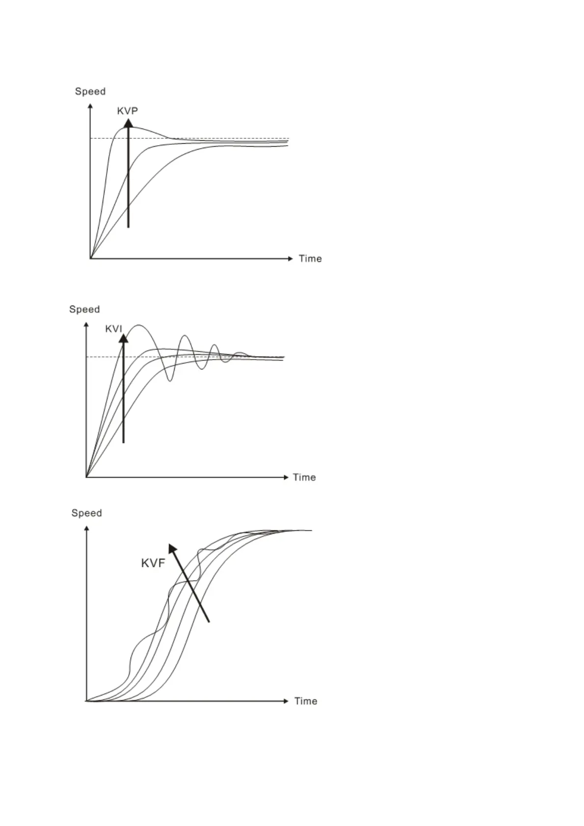
The bigger KVP value cause
higher bandwidth and shorten the
rising time. However, if the value is
set too big, the phase margin will
be too small.
To steady-state error, the result is
not as good as KVI. But it helps to
reduce the dynamic following error.
The bigger KVI value cause
greater low-frequency gain and
shorten the time the steady-state
error returns to zero. However, the
phase margin will dramatically
decrease as well.
To steady-state error, it is very
helpful but shows no benefit to
dynamic following error.
If the KVF value closes to 1, the
feed forward compensation will be
more complete and the dynamic
following error will become smaller.
However, if the KVF value is set
too big, it would cause vibration.

Table of Contents

Related product manuals