EasyManua.ls Logo

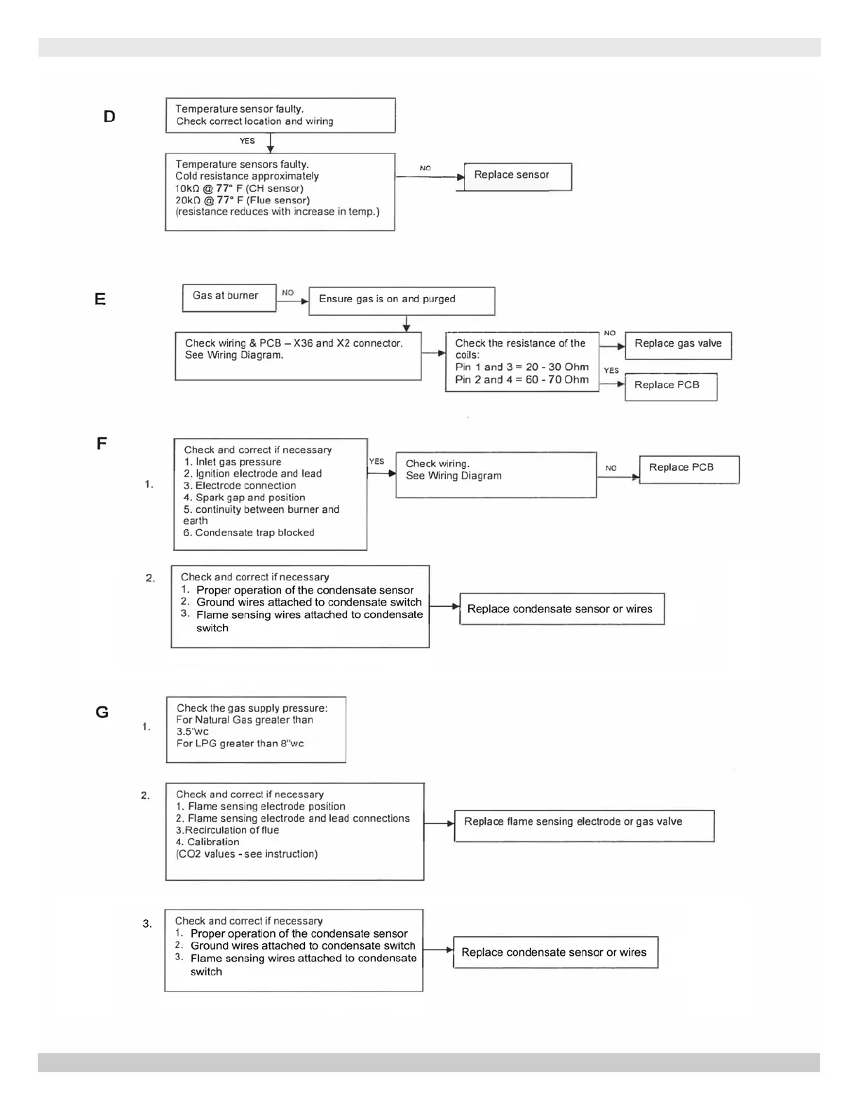
Dunkirk DCB-165 - Fault Finding Section D; Fault Finding Section E; Fault Finding Section F; Fault Finding Section G

Dunkirk DCB-165
139 pages
Print Icon
To Next Page IconTo Next Page
To Next Page IconTo Next Page
To Previous Page IconTo Previous Page
To Previous Page IconTo Previous Page
Loading...
48
3.
FAULT SOLUTION SECTIONS
PN 240011430 REV. O [07/01/2021]

Table of Contents

Other manuals for Dunkirk DCB-165

Related product manuals