EasyManua.ls Logo

Dunkirk DCBF-100 - Page 131

Dunkirk DCBF-100
138 pages
Print Icon
To Next Page IconTo Next Page
To Next Page IconTo Next Page
To Previous Page IconTo Previous Page
To Previous Page IconTo Previous Page
Loading...
48
3.
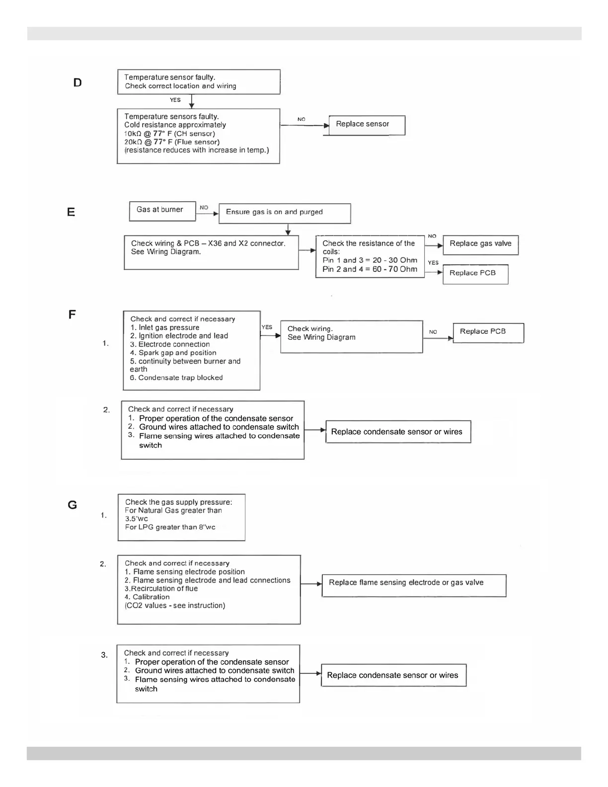
FAULT SOLUTION SECTIONS
PN 240012875 REV. B [07/01/2021]

Table of Contents

Related product manuals