EasyManua.ls Logo

E.L.B. F-350

Default Icon
48 pages
To Next Page IconTo Next Page
To Next Page IconTo Next Page
To Previous Page IconTo Previous Page
To Previous Page IconTo Previous Page
Loading...
15
3.4 Behaviour of Controller during Malfuctions
If it can be assumed that safe operation is no longer possible, switch off of
unit and secure it against renewed switching-on.
The fault conditions described here for the system can be remedied by appropriately qualified
service personnel of the plant operator or by an external service company. If work is intended on
the controller itself or on the digital/proportional controller, the manufacturer must always be
consulted beforehand. Contact possibilities:
By phone: + 49 6251 637 36
By fax : + 49 6251 637 29
By email : service@elb.de respectively kundendienst@elb.de
3.4.1 Faults during the Purge Process
The purge process is aborted if:
the mains voltage fails for longer than 2 s
the internal enclosure pressure falls below the set MIN value (factory setting: 0.8 mbar)
the internal enclosure pressure rises above the set MAX value (factory setting: 15.0 mbar)
the volume flowrate (of compressed air or inert gas) falls below the set minimum flowrate
value (pressure difference between “switchpoint of purge start“ and the factory setting of 2.0
mbar).
Once the malfunction has been remedied, purge operation is resumed automatically.
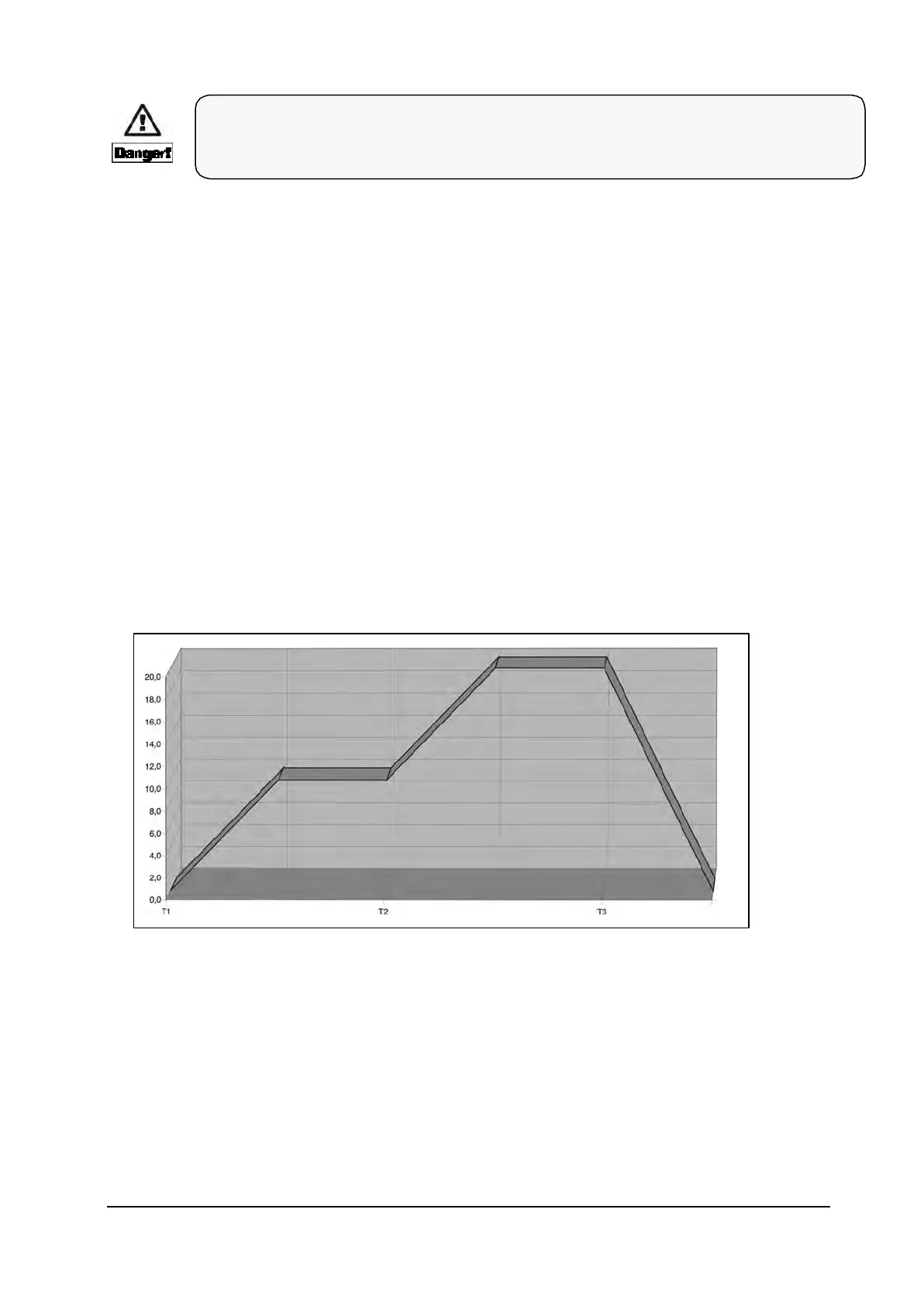
Fig. 5: Fault during the purge process
T1: When the mains voltage and the compressed air supply are applied, the purge of the EEx-p
enclosure commences, with a quantity of air corresponding to at least five times the enclosure
volume.
T2: During the purge process, the internal enclosure pressure increases to an excessively high
value. The purge operation is aborted.

Table of Contents