EasyManua.ls Logo

eQ-3 MAX! - Page 49

eQ-3 MAX!
Print Icon
To Next Page IconTo Next Page
To Next Page IconTo Next Page
To Previous Page IconTo Previous Page
To Previous Page IconTo Previous Page
Loading...
49
Conrm setting with the OK button.
Repeat this procedure until temperatures are stored for
the entire period between 0:00 and 23:59.
In Auto mode the selected week programme will be automa-
tically adopted by all taught-in MA X! Radiator Thermostats.
In Auto mode the temperature can be changed at any
time with the (+) and (-) buttons or comfort (
) and redu-
ced temperature (
) buttons. The adjusted temperature
will be maintained until the next phase in the timer pro-
gramme starts.
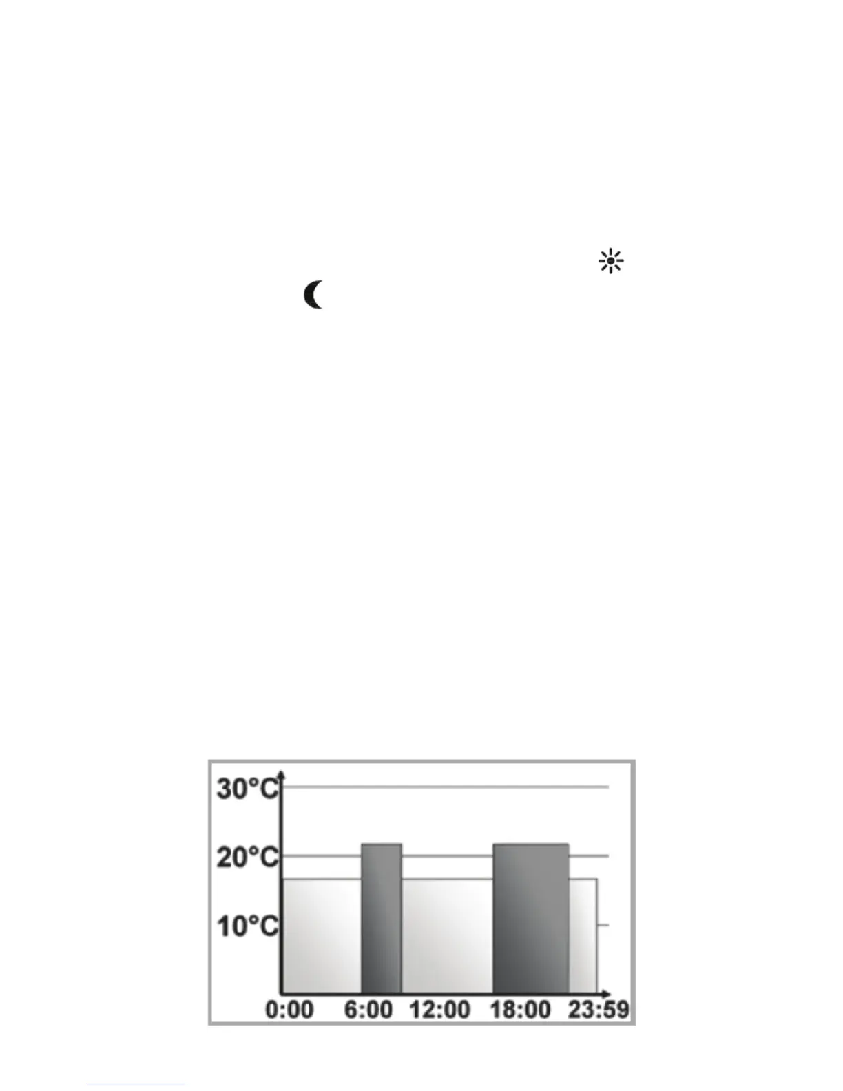
Week programmes: Examples
For each day of the week up to 6 heating phases (13
change settings) with individual temperature settings can
be saved with the Wall Thermostat. The factory settings
are as follows:
Monday - Friday:
from 00:00 to 06:00 17.0°C
from 06:00 to 09:00 21.0°C
from 09:00 to 17:00 17.0°C
from 17:00 to 23:00 21.0°C
from 23:00 to 23:59 17.0°C

Table of Contents