EasyManua.ls Logo

Franklin Electric Inline400 - Page 67

Franklin Electric Inline400
72 pages
Print Icon
To Next Page IconTo Next Page
To Next Page IconTo Next Page
To Previous Page IconTo Previous Page
To Previous Page IconTo Previous Page
Loading...
19
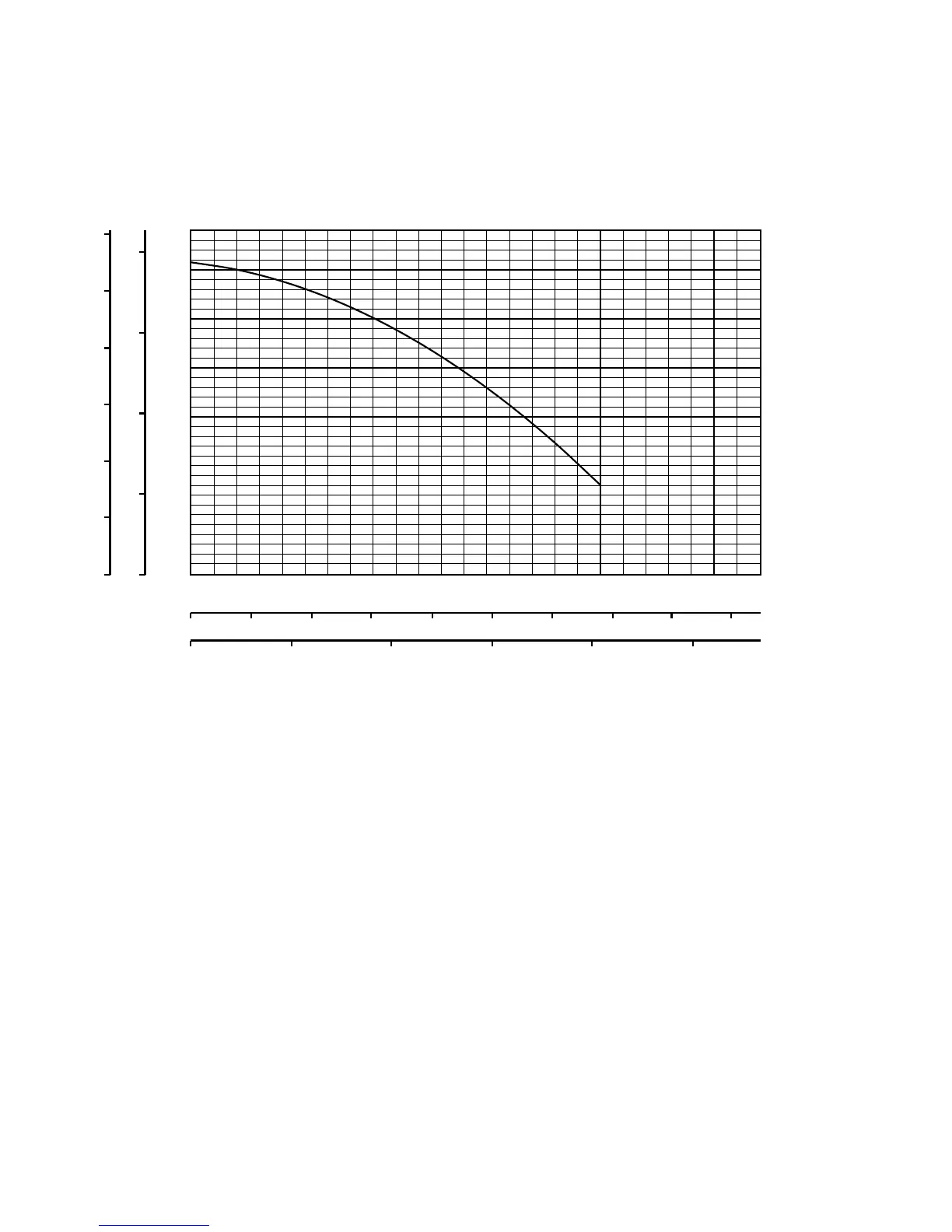
ANNEXE1:
COURBE DE RENDEMENT DU SYSTÈME DE SURPRESSION INLINE (60 HZ)
60
140
120
100
80
60
40
20
0
0
0 10 20 30 40 50 60 70 80 90
0 1 2 3 4 5
5 10 20 2515
50
40
40
30
20
10
0
30
20
10
0
mpsi
GPM (gallons/minute)
LPM (litres/minute)
pi
m
3
/h