EasyManua.ls Logo

GE Marquette Responder 3000 - Technical Specifications

GE Marquette Responder 3000
90 pages
Print Icon
To Next Page IconTo Next Page
To Next Page IconTo Next Page
To Previous Page IconTo Previous Page
To Previous Page IconTo Previous Page
Loading...
Technical Specifications
78 Marquette Responder® 3000 227 490 02-C
19 Technical Specifications
Operating Modes
non-synchronized (defibrillation on demand)
synchronized (cardioversion)
semiautomatic (in the presence of shockable
arrhythmias)
Energy Selection
by means of energy selector, energy to be
delivered into 50 Ohms is indicated as a numerical
value:
energy adjustable in steps, energy values as
energy delivered into 50 Ohms (internal defi-
brillation: energy limited to 50 Joules)
AutoSeq
2
5
7
10
20
30
50
100
150
200
300
360 Joules
possible deviation from selected energy less
than permitted by IEC
Defibrillator Charging
with capacitor; capacitor is charged from built-in
battery, from 12-V DC power via vehicle power
system or from the power line with optional AC
power adapter buzzer indicating "charge done"
capacitor charging time for energy setting of
360 J:
on line power and when inserted in vehicle
mounting unit typically 9 s
with fully charged battery typically 6 s,
with partially discharged battery typically
7 s (max. 10
s)
Defibrillation Shock
capacitor discharge via induction coil (Lown /
Edmark); exponential pulse shape, monophase,
damped sinusoidal halfwave:
pulse duration for an external resistance of 50
ohms approx. 4 ms, measured from the begin-
ning of the pulse to the intersection of the zero
line and the inflection point of the trailing pulse
edge, according to AAMI DF-2
in synchronized mode, the defibrillation shock
is released within 40 ms of the R-wave trigger
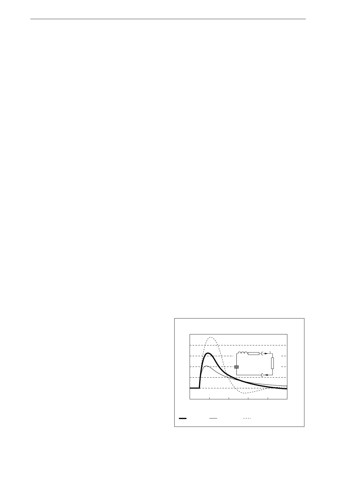
Discharge Circuit
serial oscillating circuit in series with external
resistance (patient):
capacitance 34 µF
inductance 26 mH
equivalent resistance 6 ohms
-20
0
4 6 8 10 12 t/ms2
20
40
60
80
100
l/A
L=26 mH R
t
=6
U
c
P
a
Ra=50 Ra=100 Ra=25
C=34 µF
Figure 19-1. Current discharge curve (360 J)

Related product manuals