EasyManua.ls Logo

GE PSH23SGNAFBS Series - Fan Malfunctions

GE PSH23SGNAFBS Series
45 pages
To Next Page IconTo Next Page
To Next Page IconTo Next Page
To Previous Page IconTo Previous Page
To Previous Page IconTo Previous Page
Loading...
35
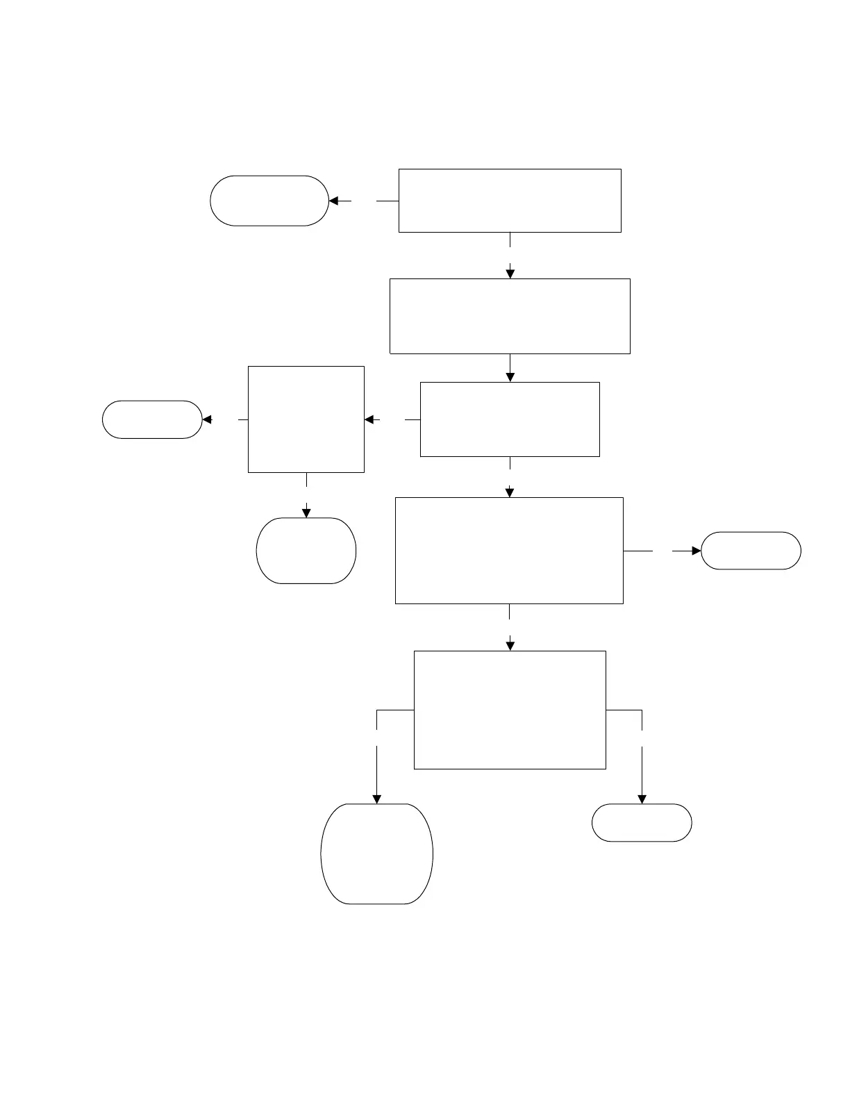
Damper Not Operating
Note: The damper will cycle open and closed every 1/2 hour.
Push on damper door to check manual
movement.
Is the damper door stuck?
Push damper door halfway closed.
Unplug refrigerator to reset main control board.
Set temperature controls to 37 ˚F and 0 ˚F.
Reconnect power.
Remove blockage or
replace damper.
YES
NO
Does damper door move
immediately after reconnecting
power?
(You have 10 seconds to check.)
Verify thermistors are
within proper range
using thermistor
values chart.
Is the resistance
within range?
Replace main
control board.
YESYES
Check wiring
connections. If
OK, replace
thermistor.
NO
Unplug harness connector at damper.
Measure resistance between the
blue and red wires and between the
white and blue wires.
Do you measure approximately 420 ohms for
both readings?
NO
Replace damper.NO
Unplug J3 connector from main
control board. Unplug the refrigerator
to reset, then reconnect power.
Are there 6 VDC between pins J4-3
(common) and pins J3-1, J3-2, J3-3,
and J3-4?
Note: After reconnecting power, you
have 10 seconds to check.
YES
Look for wiring
problem between
main control board
and damper. If
wiring is OK, replace
damper.
YES
Replace main
control board.
NO

Related product manuals