EasyManua.ls Logo

GE UR series - Page 319

GE UR series
652 pages
Print Icon
To Next Page IconTo Next Page
To Next Page IconTo Next Page
To Previous Page IconTo Previous Page
To Previous Page IconTo Previous Page
Loading...
GE Multilin L60 Line Phase Comparison System 5-187
5 SETTINGS 5.5 GROUPED ELEMENTS
5
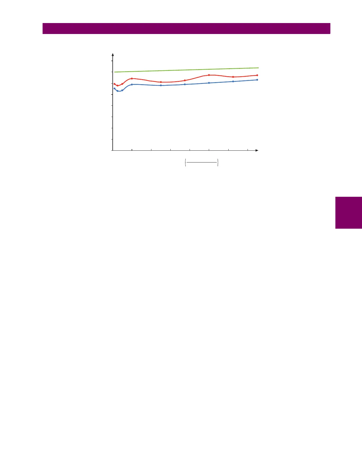
The current supervision elements reset in less than 0.7 of a power cycle for any multiple of pickup current as shown below.
Figure 5–100: BREAKER FAILURE OVERCURRENT SUPERVISION RESET TIME
SETTINGS:
BF1 MODE: This setting is used to select the breaker failure operating mode: single or three pole.
BF1 USE AMP SUPV: If set to "Yes", the element will only be initiated if current flowing through the breaker is above
the supervision pickup level.
BF1 USE SEAL-IN: If set to "Yes", the element will only be sealed-in if current flowing through the breaker is above the
supervision pickup level.
BF1 3-POLE INITIATE: This setting selects the FlexLogic™ operand that will initiate three-pole tripping of the breaker.
BF1 PH AMP SUPV PICKUP: This setting is used to set the phase current initiation and seal-in supervision level.
Generally this setting should detect the lowest expected fault current on the protected breaker. It can be set as low as
necessary (lower than breaker resistor current or lower than load current) – high-set and low-set current supervision
will guarantee correct operation.
BF1 N AMP SUPV PICKUP: This setting is used to set the neutral current initiate and seal-in supervision level. Gener-
ally this setting should detect the lowest expected fault current on the protected breaker. Neutral current supervision is
used only in the three phase scheme to provide increased sensitivity. This setting is valid only for three-pole tripping
schemes.
BF1 USE TIMER 1: If set to "Yes", the early path is operational.
BF1 TIMER 1 PICKUP DELAY: Timer 1 is set to the shortest time required for breaker auxiliary contact Status-1 to
open, from the time the initial trip signal is applied to the breaker trip circuit, plus a safety margin.
BF1 USE TIMER 2: If set to "Yes", the main path is operational.
BF1 TIMER 2 PICKUP DELAY: Timer 2 is set to the expected opening time of the breaker, plus a safety margin. This
safety margin was historically intended to allow for measuring and timing errors in the breaker failure scheme equip-
ment. In microprocessor relays this time is not significant. In L60 relays, which use a Fourier transform, the calculated
current magnitude will ramp-down to zero one power frequency cycle after the current is interrupted, and this lag
should be included in the overall margin duration, as it occurs after current interruption. The Breaker failure main path
sequence diagram below shows a margin of two cycles; this interval is considered the minimum appropriate for most
applications.
Note that in bulk oil circuit breakers, the interrupting time for currents less than 25% of the interrupting rating can be
significantly longer than the normal interrupting time.
BF1 USE TIMER 3: If set to "Yes", the Slow Path is operational.
BF1 TIMER 3 PICKUP DELAY: Timer 3 is set to the same interval as timer 2, plus an increased safety margin.
Because this path is intended to operate only for low level faults, the delay can be in the order of 300 to 500 ms.
836769A4.CDR
0
0.2
0.4
0.6
0.8
0 20 40 60 80 100 120 140
Average
Maximum
Margin
Mulitple of pickup
fault current
threshold setting
Breaker failure reset time (cycles)

Table of Contents

Other manuals for GE UR series

Related product manuals