EasyManua.ls Logo

Honda BF45A - Page 289

Honda BF45A
431 pages
Print Icon
To Next Page IconTo Next Page
To Next Page IconTo Next Page
To Previous Page IconTo Previous Page
To Previous Page IconTo Previous Page
Loading...
BF40AoBF50A
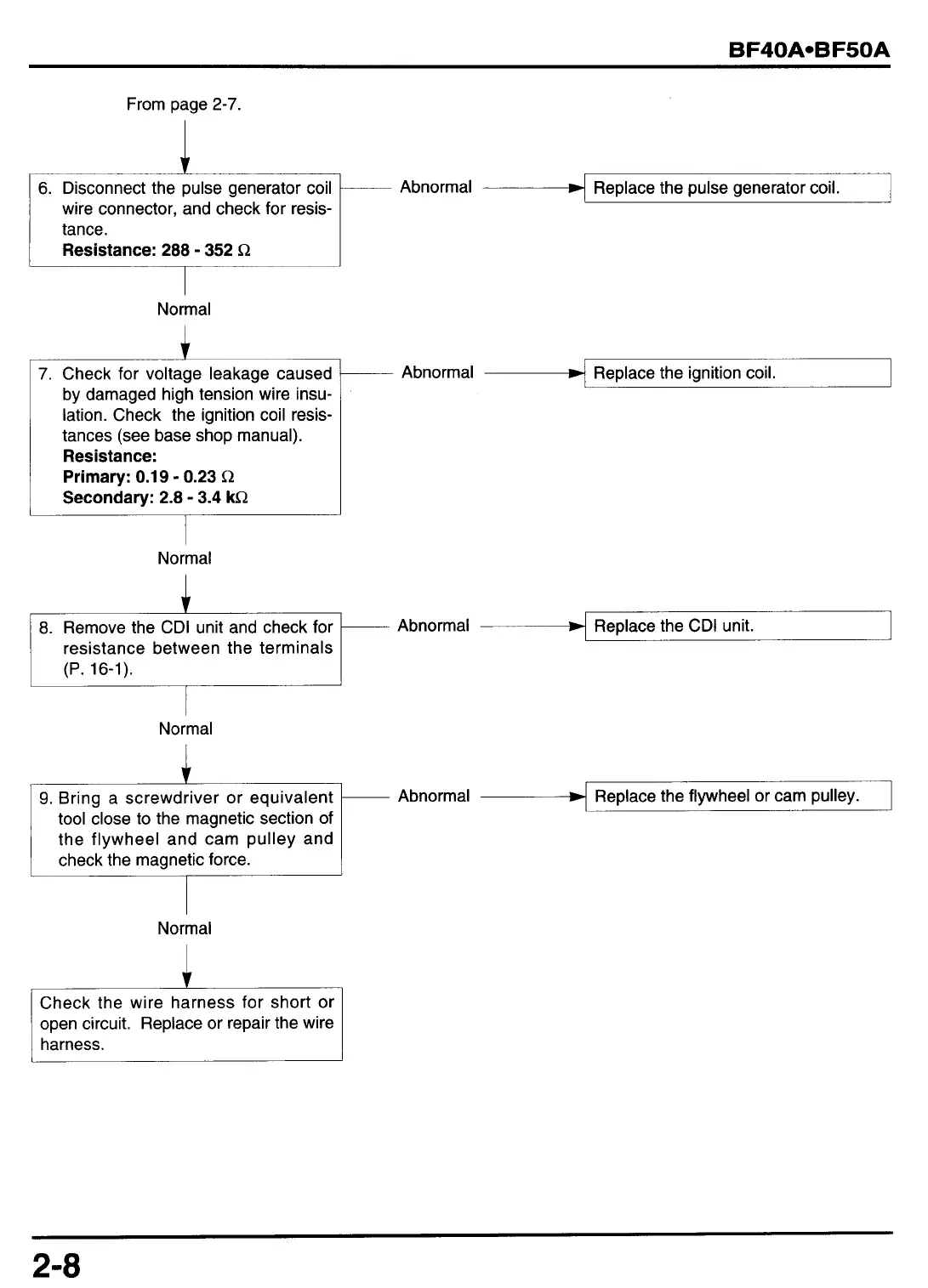
9.
Bring a screwdriver or equivalent
tool close
to
the magnetic section of
the flywheel and cam pulley and
check the magnetic force.
From page
2-7.
Abnormal
Replace the flywheel or cam pulley.
1
Abnormal
wire connector, and check for resis-
tance.
Resistance: 288
-
352
R
I
Normal
.
7.
Check for voltage leakage caused
by damaged high tension wire insu-
lation. Check the ignition coil resis-
tances (see base shop manual).
Resistance:
Primary:
0.19
-
0.23
R
Secondary: 2.8
-
3.4
kR
Abnormal
-4
Replace the ignition coil.
I
Normal
Abnormal
resistance between the terminals
(P.
16-1).
~
Normal
open circuit. Replace or repair the wire
harness.
2-8

Other manuals for Honda BF45A

Related product manuals