EasyManua.ls Logo

IBM L150 - SOFTWARE FLOW CHART

IBM L150
71 pages
Print Icon
To Next Page IconTo Next Page
To Next Page IconTo Next Page
To Previous Page IconTo Previous Page
To Previous Page IconTo Previous Page
Loading...
IBM 15 Service Manual
18
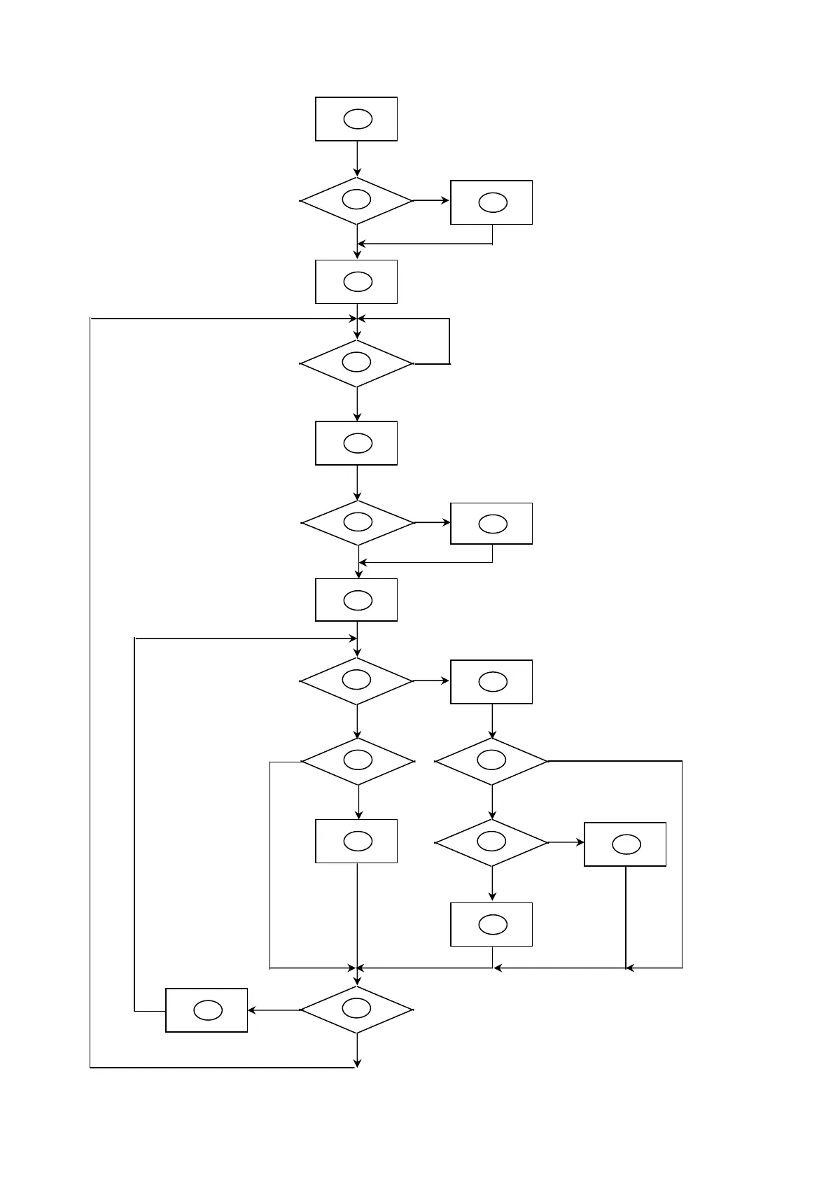
5.2 Software Flow Chart
1
2
N
Y
5
Y
N
10
Y
N
12
Y
N
7
Y
N
6
4
3
8
9
14
11
13
Y
N
1
5
Y
N
16
1
7
19
Y
N
18
http://www.wjel.net

Related product manuals