EasyManua.ls Logo

Icom IC-M700TY - Specifications; General Specifications; Transmitter Specifications; Receiver Specifications

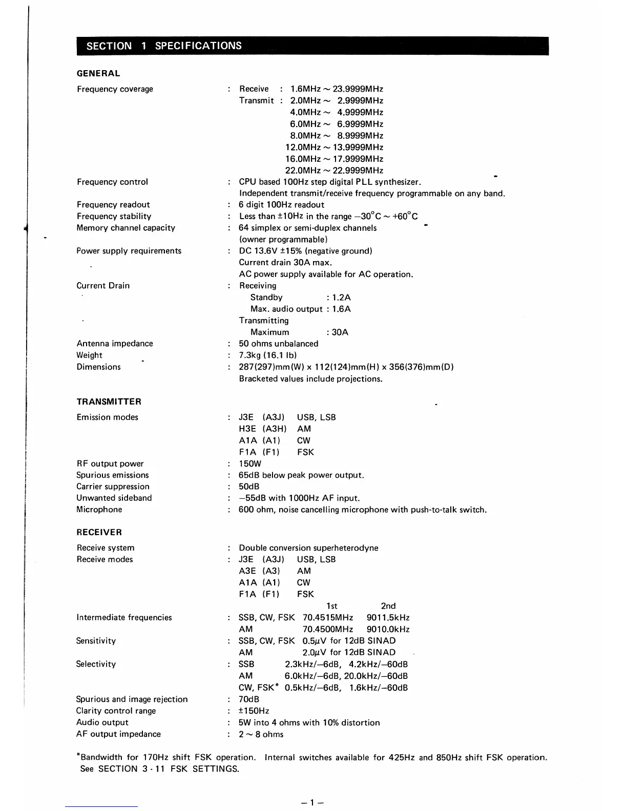
Icom IC-M700TY
20 pages
Print Icon
To Next Page IconTo Next Page
To Next Page IconTo Next Page
To Previous Page IconTo Previous Page
To Previous Page IconTo Previous Page
Loading...

Other manuals for Icom IC-M700TY

Related product manuals