EasyManua.ls Logo

Indramat TDA 1 - Page 15

Default Icon
50 pages
Print Icon
To Next Page IconTo Next Page
To Next Page IconTo Next Page
To Previous Page IconTo Previous Page
To Previous Page IconTo Previous Page
Loading...
15
DOK-DIAX01-TDA********-PRJ1-EN-E1,44 • 07.97
2. Control cabinet design
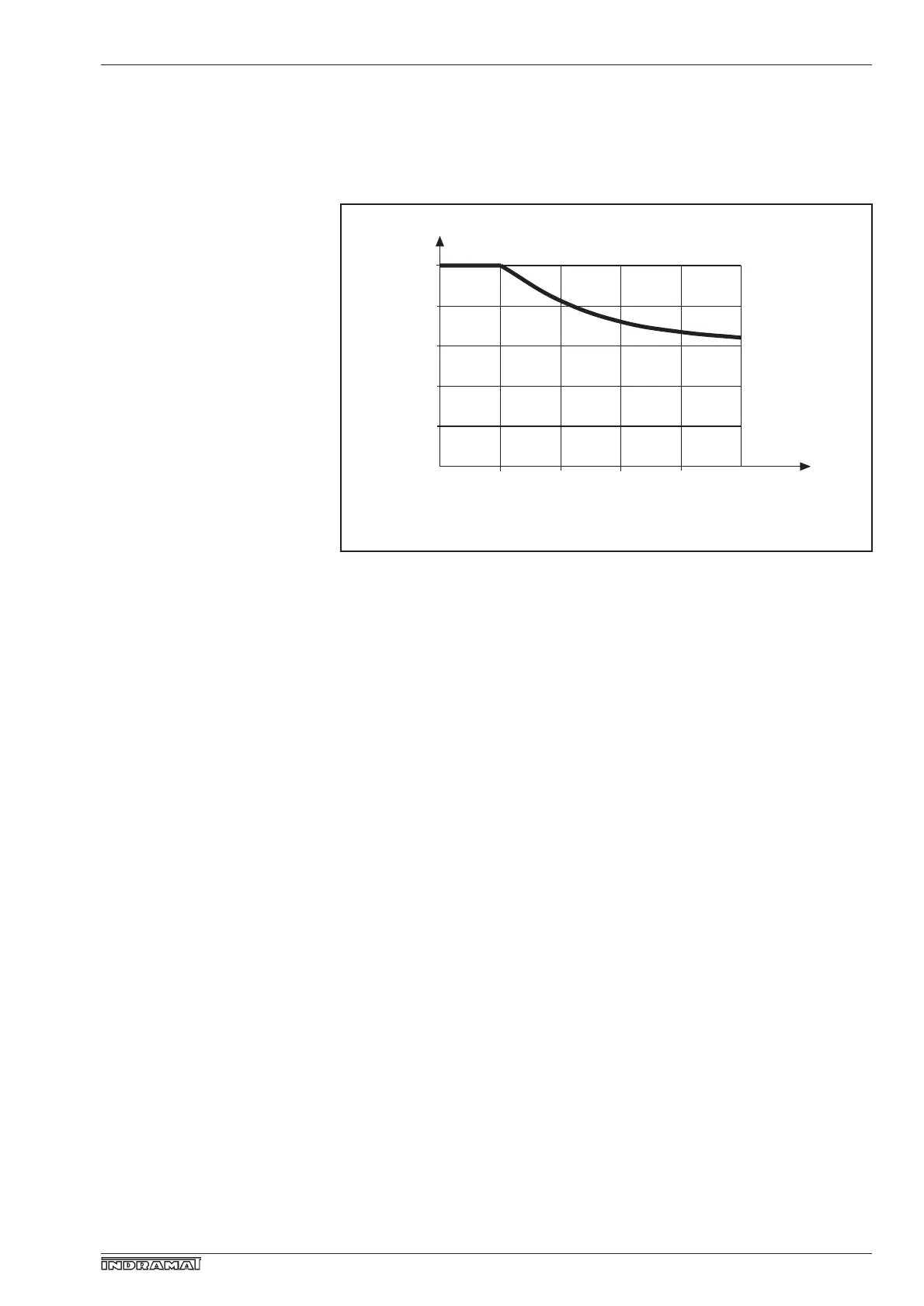
The maximum operating altitude is 1000 meters above sea level. At
higher elevations, the values given in the main spindle drive selection
data for torque power ratings will be limited according to the chart in Fig.
7.
The maximum permissible relative humidity of air corresponds to Humid-
ity Class F according to DIN 40 040.
This means that the controller may be operated in locations subject to
humidity, such as workshops in cold, temperate and hot, dry climate
zones. The mean relative humidity of air may not exceed 70% in the
wettest month! Moisture must never be allowed to condense on the unit!
For more details, see DIN 40 040!
Electrical protection is IP 10 according to DIN 40 050.
This means that the controller is protected against the ingress of solid
foreign particles with a diameter of more than 50 mm.
The controller is not protected against
the ingress of water, or
intentional contact, e.g. by hand, but does prevent contact of large body
surfaces.
For more details, see DIN 40 050!
The TDA 1 has been designed for installation in a control cabinet or a
closed housing in conformity with DIN VDE 01 160, sections 5.5.1.3 and
6.5.1.3. Adequate protection against unintentional contact must be
provided by the manufacturer of the cabinet according to the valid safety
specifications for the respective application. (For industrial equipment,
e.g., EN 60204 / DIN VDE 0113, part 1.)
Altitude
Permissible relative
humidity of air
Fig. 7: Altitude-related limitation of drive ratings
100
80
60
40
20
0
0 1000 2000 3000 4000 5000
Altitude above sea level [m]
Altitude factor [%]
HöhenRed
Electrical protection