EasyManua.ls Logo

JBL PROFLORA CO2 CONTROL - 6� Ph, CO₂ Et Dureté Carbonatée (KH); 6�2 Réglage de la Quantité de CO₂; 7�1 Choix de la Langu; La Bonne Quantité de CO₂ Et Le Bon Ph

JBL PROFLORA CO2 CONTROL
Print Icon
To Next Page IconTo Next Page
To Next Page IconTo Next Page
To Previous Page IconTo Previous Page
To Previous Page IconTo Previous Page
Loading...
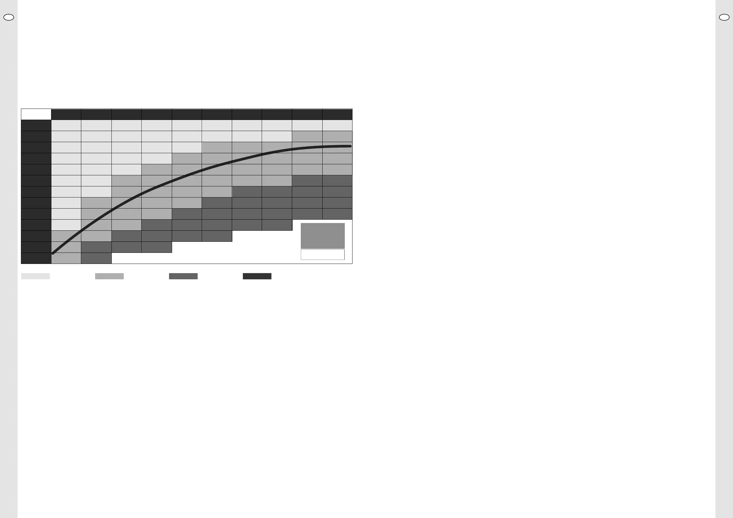
6. pH, CO₂ et dureté carbonatée (KH)
Les trois paramètres – pH, teneur en CO₂ et dureté carbonatée – sont liés de manière indissociable, car ils sont interdépendants�
La quantité de CO₂ nécessaire pour obtenir un pH déterminé dépend de la dureté carbonatée (le KH) dans l’aquarium� Plus le KH est élevé, plus il
faudra de CO₂� Si l’on connaît le KH et le pH, on peut calculer la teneur en CO₂� Le tableau ci-dessous vous évitera des calculs fastidieux et il indique
également les pH qui sont sans danger pour vos poissons�
Ne paramétrez jamais des consignes de pH de manière aléatoire� Déterminez toujours d’abord le KH dans votre aquarium, p� ex� avec le
JBL PROAQUA
TEST KH
Teneur en CO₂ en fonction du pH et de la dureté carbonatée
KH 2
1
2
2
3
4
5
6
8
10
12
15
24
38
pH 7,8
pH 7,6
pH 7,4
pH 7,3
pH 7,2
pH 7,1
pH 7
pH 6,9
pH 6,8
pH 6,7
pH 6,6
pH 6,4
pH 6,2
KH 10
5
8
12
15
19
24
30
38
48
60
75
KH 4
2
3
5
6
8
10
12
15
19
24
30
48
76
KH 12
6
9
14
18
23
29
36
45
57
72
90
KH 6
3
5
7
9
11
14
18
23
29
36
45
72
KH 14
7
11
17
21
27
33
42
53
67
84
KH 18
9
14
21
27
34
43
54
68
86
KH 8
4
6
10
12
15
19
24
30
38
48
60
96
KH 16
9
12
19
24
30
38
48
60
76
96
KH 20
10
15
24
30
38
48
60
76
95
Tabelle · Table · Tableau
CO
2
Trop peu de CO₂ CO₂ OK Trop de CO₂ Courbe du pH auto (voir chap. 6.1)
C0
2
(mg/l)
6.1 La bonne quantité de CO₂ et le bon pH
JBL recommande une teneur en CO₂ de l’eau de l’aquarium comprise entre 15 et 30 mg/l, ce qui correspond à la zone marquée en « CO₂ OK » dans
le tableau ci-dessus� La fourchette idéale est comprise entre 20 et 25 mg/l� Ce taux ne présente aucun danger pour les poissons et assure en même
temps une excellente pousse des plantes� La fonction Auto pH utilise la moyenne, à savoir 22,5 mg/l de CO₂ comme base de calcul de la consigne de
pH adéquate�
Dans certains cas particuliers, p� ex� en aquascaping, des teneurs en CO₂ jusqu’à 35 mg/l peuvent être nécessaires�
• Commencez toujours par mesurer le KH de l’eau de votre aquarium�
• Dans la zone « CO₂ OK », cherchez le pH correspondant au KH et à la teneur en CO₂ souhaitée�
• Paramétrez ce pH comme consigne de pH sur l’appareil (voir chap� 5)�
Veillez impérativement à ne choisir que des niveaux de pH sans danger pour les poissons� Autrement dit, vous ne devrez pas paramétrer un pH infé
-
rieur à 7,00 si la dureté carbonatée est élevée
Si vous souhaitez un pH inférieur à 7,00, il sera nécessaire de réduire en conséquence le KH�
Conseil : si vous activez la fonction Auto pH (voir chap� 7�5), l’appareil adoptera automatiquement une consigne de pH adaptée au KH de votre aqua-
rium, vous garantissant une excellente pousse des plantes, sans pour autant mettre la santé de vos poissons en danger
Vous trouverez les valeurs
correspondantes sur la courbe Auto pH dans le tableau ci-dessus�
6.2 Réglage de la quantité de CO₂
La quantité de CO₂ à ajouter pour obtenir le pH souhaité dépend de diérents facteurs comme le mouvement de l’eau, la consommation par les
plantes, etc� Elle doit être déterminée individuellement pour chaque aquarium�
• Commencez par 10 bulles environ par minute dans le JBL PROFLORA CO₂ TAIFUN COUNT SAFE, pour 100 l d’eau d’aquarium�
Au bout d’une journée, contrôlez si la consigne de pH paramétrée est atteinte dans l’aquarium et si l’appareil interrompt de temps en temps l’ap
-
port en CO₂
• Si tel n’est pas le cas, augmentez l’apport en CO₂ à 20 - 25 bulles environ� Si nécessaire, continuez à augmenter progressivement l’apport jusqu’à
ce que l’appareil régule de telle sorte que l’apport en CO₂ s’interrompe environ 3 à 6 fois par jour
Respectez également le mode d’emploi du système de fertilisation au CO₂ utilisé !
7. Les diérentes options du menu
Description de leur accessibilité à partir de l’écran général (chap� 4)�
7.1 Choix de la langu
Accessible par :
Paramètres > Choix de la langue > Valider avec OK > Sélectionner la langue > Valider avec OK.
Quitter en touchant du doigt « Paramètres ».
Neuf langues sont disponibles pour le guidage par menu aché sur l‘écran :
DE/EN-UK/FR/NL/IT/DK/ES/PT/RO
7.2 Étalonnage
Accessible par :
Paramètres > sélectionner Étalonnage > valider avec OK > démarrer Étalonnage > valider avec OK.
L’appareil vous guide étape par étape pour eectuer ce qu’on appelle un étalonnage bi-point� L’appareil est étalonné d’abord avec la solution tampon
7,00 puis avec la solution tampon 4,00 (jamais le contraire !)� Voir la procédure de l’étalonnage au chap� 3�3 et au chapitre 8�1 pour d’autres détails�
Une fois l’étalonnage réalisé, le délai jusqu’au prochain rappel d’étalonnage est réinitialisé sur l’écran général (chap� 4) à 30 jours / 720 heures� Ceci
correspond au réglage usine�
L’appareil doit être étalonné, car la sonde de pH vieillit� Le processus d‘étalonnage compense le vieillissement, à savoir la modification insidieuse des
valeurs mesurées et de la sonde de pH, au moyen d’un logiciel�
7.3 Rappel Étalonnage
Accessible par :
Paramètres > sélectionner Étalonnage > valider avec OK > sélectionner Intervalle de temps > valider avec OK.
Cette option vous donne la possibilité de choisir entre les diérents laps de temps qui vous séparent du prochain rappel d‘étalonnage� Les intervalles
d’étalonnage disponibles sont les suivants :
30 jours
45 jours
60 jours
Nous déconseillons toutefois vivement de choisir l’option de 60 jours, parce que chaque sonde de pH est soumise à un vieillissement continu et que
les valeurs mesurées se dérèglent� Donc, plus vous répéterez fréquemment l’étalonnage, plus les mesures seront fiables�
7.4 Valeur de consigne du pH
Accessible par :
Paramètres > sélectionner Consigne pH > valider avec OK > sélectionner le pH souhaité avec « plus » et « moins » > valider avec OK.
La consigne de pH paramétrée apparaît sur l’écran général (chap� 4)�
Veillez à ne paramétrer que des consignes de pH qui sont bien signalisés au chap� 6 comme corrects pour le CO₂�
Le système vous ore une garantie supplémentaire en déterminant simultanément une dureté carbonatée avec laquelle la valeur de consigne de
pH choisie ne présentera aucun danger pour les poissons et assurera tout de même une quantité de CO₂ susante pour les plantes� Si l’appareil
détermine un KH inférieur de plus de 1 degré (°dkH) à celle du KH de votre aquarium, vous devrez être absolument sûr(e) que vous souhaitez cette
valeur avant de valider avec « OK »�
7.5 Auto pH
Accessible par :
Paramètres > sélectionner Auto pH > valider avec OK > sélectionner le pH souhaité avec « plus » et « moins » > valider avec OK.
Vous saisissez le KH mesuré dans votre aquarium et l’appareil calcule automatiquement la consigne de pH adéquate qui garantit une teneur en CO₂
d’environ 22,5 mg/l� Ce pH est enregistré automatiquement comme consigne de pH lorsque vous validez avec OK après avoir saisi le KH� Vous ob
-
tiendrez ainsi une excellente pousse de vos plantes, sans jamais mettre vos poissons en danger
Vous pouvez voir les chires sur lesquels est basée
la fonction Auto pH sous forme de courbe Auto pH dans le tableau du chap� 6�
Le pH auto est préréglé en usine à 8 °dKH (degrés allemands)�
Conseil : si vous n’êtes pas certain de savoir quelle est la consigne de pH correcte, utilisez toujours la fonction Auto pH�
Remarque : en cas de modification de la consigne de pH en dehors de la courbe Auto pH et lorsque l’électrovanne est en mode manuel (man), la
fonction Auto pH se désactive automatiquement�
FRFR
32 33

Table of Contents

Related product manuals