EasyManua.ls Logo

JBL PROFLORA CO2 CONTROL - 6�2 Ställ in Rätt CO₂-Mängd; 7� de Enskilda Menypunkterna; CO₂, Karbonathårdhet (KH) Och Ph-Värde; Rätt Mängd CO₂ Och Rätt Ph-Värde

JBL PROFLORA CO2 CONTROL
Print Icon
To Next Page IconTo Next Page
To Next Page IconTo Next Page
To Previous Page IconTo Previous Page
To Previous Page IconTo Previous Page
Loading...
6. CO₂, karbonathårdhet (KH) och pH-värde
De tre parametrarna pH-värde, CO₂-halt och karbonathårdhet måste betraktas tillsammans då de är ömsesidigt beroende av varandra�
Hur mycket CO₂ som behövs i det aktuella fallet för att få ett visst pH-värde beror på karbonathårdheten (KH) i akvariet� Ju högre KH, desto mer CO₂
behövs� CO₂-halten kan beräknas om man känner till KH och pH-värdet� Med hjälp av följande tabell slipper du räkna� Tabellen visar även vilka pH-
värden du kan ställa in som börvärde utan att det uppstår några risker för fiskarna�
Ställ aldrig in ett godtyckligt pH-börvärde� Bestäm alltid först KH i ditt akvarium, t�ex� med JBL PROAQUATEST KH
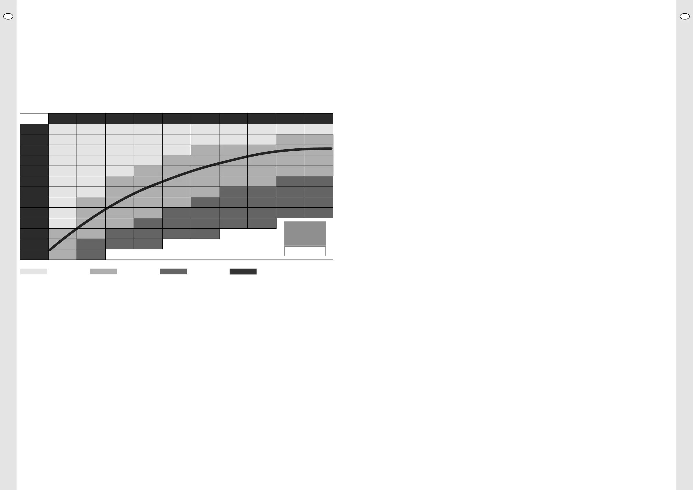
CO₂-haltens beroende av pH-värde och KH
KH 2
1
2
2
3
4
5
6
8
10
12
15
24
38
pH 7,8
pH 7,6
pH 7,4
pH 7,3
pH 7,2
pH 7,1
pH 7
pH 6,9
pH 6,8
pH 6,7
pH 6,6
pH 6,4
pH 6,2
KH 10
5
8
12
15
19
24
30
38
48
60
75
KH 4
2
3
5
6
8
10
12
15
19
24
30
48
76
KH 12
6
9
14
18
23
29
36
45
57
72
90
KH 6
3
5
7
9
11
14
18
23
29
36
45
72
KH 14
7
11
17
21
27
33
42
53
67
84
KH 18
9
14
21
27
34
43
54
68
86
KH 8
4
6
10
12
15
19
24
30
38
48
60
96
KH 16
9
12
19
24
30
38
48
60
76
96
KH 20
10
15
24
30
38
48
60
76
95
Tabelle · Table · Tableau
CO
2
För lite CO₂ Rätt CO₂-halt För mycket CO₂ Auto pH-kurva (se kap. 6.1)
C0
2
(mg/l)
6.1 Rätt mängd CO₂ och rätt pH-värde
JBL rekommenderar en CO₂-halt i akvarievattnet på 15 till 30 mg/l� Detta område har markerats i tabellen med ”Rätt CO₂-halt“� Det har visat sig vara
idealiskt med 20–25 mg/l� Detta värde är ofarligt för fiskarna och sörjer samtidigt för praktfull växtlighet� Funktionen Auto-pH utgår från medelvärdet,
nämligen 22,5 mg/l CO₂, för att beräkna ett passande pH-börvärde�
I särskilda fall, t�ex� för aquascaping, kan det krävas en CO₂-halt på upp till 35 mg/l�
• Mät alltid först KH i ditt akvarievatten�
• Sök i tabellen efter det pH-värde som passar till KH och den önskade CO₂-halten inom området ”Rätt CO₂-halt”
• Ställ in detta pH-värde som börvärde på apparaten (se kap� 5)�
Se tvunget till att endast sådana pH-värden ställs in som är ofarliga för fiskarna� Det innebär t�ex� att med ett högt KH får inga pH-värden under 7,00
ställas in� Om du vill ha ett pH-värde under 7,00 måste karbonathårdheten i regel reduceras tills den passar
Tips: Om du aktiverar funktionen Auto pH (se kap� 7�5), ställer apparaten automatiskt in ett pH-börvärde som passar till KH i ditt akvarium och som
garanterar praktfull växtlighet utan någon risk för fiskarna� Motsvarande värden ser du som Auto pH-kurva i tabellen ovan�
6.2 Ställ in rätt CO₂-mängd
CO₂-mängden som måste tillföras för att få det önskade pH-värdet beror på olika faktorer, t�ex� vattenrörelse, hur mycket växterna förbrukar osv�, och
måste bestämmas individuellt för varje akvarium�
• Börja med ca 10 bubblor i minuten i JBL PROFLORA CO₂ TAIFUN COUNT SAFE bubbleräknare per 100 l akvarievatten�
• Kontrollera efter en dag om det inställda pH-värdet i akvariet uppnås och att apparaten stänger av CO₂-tillförseln då och då�
• Om inte, öka CO₂-tillförseln till ca 20–25 bubblor Vid behov kan du öka tillförseln i ytterligare små steg tills apparaten reglerar så att CO₂-tillförseln
stängs av ca 3 till 6 gånger om dagen�
Läs och följ även bruksanvisningarna till ditt CO₂-diusionssystem!
7. De enskilda menypunkterna
Åtkomsten beskrivs med utgångspunkt från översiktsfönstret (kap� 4)�
7.1 Välj språk (Language)
Åtkomst med:
Inställningar > Välj Language > Bekräfta med OK > Välj önskat språk > Bekräfta med OK. Gå ur genom att trycka på ”Inställningar”.
Välj ett av 9 olika språk som ska visas på skärmen:
tyska, engelska, franska, nederländska, italienska, danska, spanska, portugisiska och rumänska�
7.2 Kalibrering
Åtkomst med:
Inställningar > Välj Calibration > Bekräfta med OK > Start Calibration > Bekräfta med OK.
Apparaten leder dig genom en så kallad tvåpunktskalibrering� Kalibrera apparaten först med buertlösningen pH 7,00 och sedan med buertlösnin
-
gen pH 4,00, aldrig tvärtom! Kalibreringen beskrivs i kap
3�3� Detaljerad information om kalibrering finns i kap� 8�1�
När kalibreringen är färdig återställs tiden för påminnelse om kalibrering i översiktsfönstret (kap� 4) till 30 dagar/720 timmar Det motsvarar fabrik-
sinställningen
Apparaten måste kalibreras eftersom pH-sensorn åldras� Med kalibreringen kan åldringen, den gradvisa förändringen av mätvärden och pH-sensorn
kompenseras med programvara�
7.3 Påminnelse om kalibrering
Åtkomst med:
Inställningar > Välj Calibration Reminder > Bekräfta med OK > Välj tidsintervall > Bekräfta med OK.
I denna menypunkt kan du välja mellan olika tidsintervall till nästa påminnelse om kalibrering� Du kan välja mellan följande tidsintervall:
30 dagar
45 dagar
60 dagar
Vi avråder emellertid från 60 dagar eftersom varje pH-sensor åldras kontinuerligt, varför uppmätta värden förskjuts� Ju oftare du kalibrerar, desto
tillförlitligare är mätningarna�
7.4 Börvärde för pH
Åtkomst med:
Inställningar > Välj pH Set Point > Bekräfta med OK > Välj önskat pH-värde med ”plus” och ”minus” > Bekräfta med OK.
Det inställda pH-börvärdet visas i översiktsfönstret (kap� 4)�
Var uppmärksam på att endast ställa in sådana pH-börvärden som är markerade som rätt CO₂ i tabellen i kap� 6�
Som säkerhetsfunktion beräknar apparaten samtidigt vilken karbonathårdhet som passar till det inställda börvärdet och som är säker för fiskarna�
Samtidigt kan det ändå garanteras att det finns tillräckligt med CO₂ för växterna� Om apparaten beräknar ett KH-värde som ligger mer än 1 grad
(°dKH) under KH i ditt akvarium, bör du vara absolut säker på att du verkligen vill ha detta värde innan du bekräftar den med OK�
7.5 Auto pH
Åtkomst med:
Inställningar > Välj Auto pH > Bekräfta med OK > Välj önskat KH-värde med ”plus” och ”minus” > Bekräfta med OK.
Mata in det KH-värde som du mätt upp i ditt akvarium� Apparaten beräknar automatiskt det passande pH-börvärdet som säkerställer en CO₂-halt på
ca 22,5 mg/l� Detta pH-värde sparas automatiskt som pH-börvärde om du bekräftar inmatningen av KH med OK� På så vis får du praktfull växtlighet
utan någon risk för fiskarna� Värdena som funktionen Auto pH baserar på visas som Auto pH-kurva i tabellen i kap� 6�
Fabriksinställningen för Auto pH är 8 °dKH (grader tysk karbonathårdhet)�
Tips: Om du är osäker på vilket pH-börvärde som är rätt, använd alltid Auto pH-funktionen�
OBS: Om pH-börvärdet ändras till värden utanför Auto pH-kurvan och om inställningen för ventil (valve) ställs på ”Man” (manuellt) avaktiveras funk
-
tionen Auto pH automatiskt
7.6 Hysteres
Åtkomst med:
Inställningar > Välj Hysteresis > Bekräfta med OK > Välj önskat tröghetsvärde med ”plus” och ”minus” > Bekräfta med OK.
Med hysteres betecknar man omkopplingspunkterna� För att undvika att magnetventilen kopplar om för ofta, ställer man in övre och undre gräns
-
värden för hur mycket det uppmätta pH-värdet får avvika från pH-börvärdet innan magnetventilen kopplar om
Detta skonar magnetventilen� Ett
exempel på hur apparaten reglerar anges i kap� 5�1� Du kan välja värden från 0,1 till 0,5 pH-enheter� Fabriksinställning: 0,1 pH�
SESE
68 69

Table of Contents

Related product manuals