EasyManua.ls Logo

JBL PROFLORA CO2 CONTROL - 3�2 Selezione Della Lingua; 6� CO₂, Durezza Carbonatica (KH) E Valore del Ph; 6�2 Impostare la Quantità DI CO₂; 7� Le Singole Voci del Menu

JBL PROFLORA CO2 CONTROL
Print Icon
To Next Page IconTo Next Page
To Next Page IconTo Next Page
To Previous Page IconTo Previous Page
To Previous Page IconTo Previous Page
Loading...
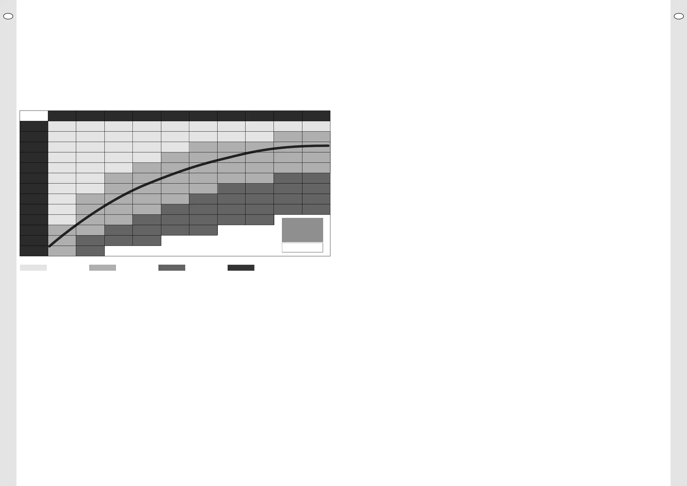
6. CO₂, durezza carbonatica (KH) e valore del pH
I tre parametri livello di CO₂, durezza carbonatica e pH sono collegati tra di loro in modo inscindibile, poiché vi è una dipendenza reciproca�
Quanta CO₂ serva per ottenere un determinato pH dipende dal KH nell‘acquario� Più il KH è alto, più CO₂ è necessaria� Se KH e valore del pH sono
noti, è possibile calcolare il livello di CO₂� La seguente tabella vi risparmia di fare dei calcoli e mostra anche i valori del pH che si possono impostare
senza pericolo per i vostri pesci�
Non impostate mai dei valori nominali del pH in modo arbitrario� Stabilite sempre per prima cosa il KH nel vostro acquario, ad es� con il
JBL PROAQUA
TEST KH
Livello di CO₂ in dipendenza del valore pH e KH
KH 2
1
2
2
3
4
5
6
8
10
12
15
24
38
pH 7,8
pH 7,6
pH 7,4
pH 7,3
pH 7,2
pH 7,1
pH 7
pH 6,9
pH 6,8
pH 6,7
pH 6,6
pH 6,4
pH 6,2
KH 10
5
8
12
15
19
24
30
38
48
60
75
KH 4
2
3
5
6
8
10
12
15
19
24
30
48
76
KH 12
6
9
14
18
23
29
36
45
57
72
90
KH 6
3
5
7
9
11
14
18
23
29
36
45
72
KH 14
7
11
17
21
27
33
42
53
67
84
KH 18
9
14
21
27
34
43
54
68
86
KH 8
4
6
10
12
15
19
24
30
38
48
60
96
KH 16
9
12
19
24
30
38
48
60
76
96
KH 20
10
15
24
30
38
48
60
76
95
Tabelle · Table · Tableau
CO
2
troppo poca CO₂ CO₂ corretta troppa CO₂ Curva auto pH (vedi Cap. 6.1)
C0
2
(mg/l)
6.1 La giusta quantità di CO₂ ed il corretto valore del pH
JBL consiglia un livello di CO₂ nell‘acqua dell‘acquario tra 15 e 35 mg/l� Questa fascia è contrassegnata nella tabella in alto con „CO₂ corretta“� Come
livello ideale è si è rivelato 20 - 25 mg/l� Questo valore è innocuo per i pesci e favorisce al contempo una rigogliosa crescita delle piante� La funzione
auto-pH utilizza il valore medio, cioè 22,5 mg/l CO₂ quale base per il calcolo del valore nominale adatto� In casi particolari, ad es� per l‘aquascaping,
possono anche essere necessari dei livelli di CO₂ sino a 35 mg/l�
• Misurare sempre per prima cosa il KH della propria acqua d‘acquario�
• Cercare nella fascia „CO₂ corretta“ il valore del pH corrispondente al KH ed il livello di CO₂ desiderati�
• Impostare questo valore del pH come valore nominale nel dispositivo (vedi cap� 5)�
Osservare assolutamente di scegliere solo quei valori del pH che siano innocui per i pesci� Ciò significa ad es� di non impostare dei valori del pH sotto
7,00, qualora il KH fosse elevato� Se volete impostare dei valori del pH sotto la soglia di 7,00, solitamente si rende necessaria una corrispondente
riduzione del KH�
Suggerimento: se attivate la funzione auto pH (vedi Cap� 7�5), il dispositivo provvede in modo automatico ad impostare un valore nominale del pH che
sia idoneo per il KH del vostro acquario e garantisca una rigogliosa crescita delle piante senza mettere in pericolo i pesci� Trovate i rispettivi valori
come curva dell‘auto pH nella tabella in alto�
6.2 Impostare la quantità di CO₂
La quantità di CO₂ da aggiungere per ottenere il pH desiderato dipende da vari fattori come il movimento dell‘acqua, il consumo attraverso le piante
ecc�, e deve essere accertato individualmente per ciascun acquario�
• Iniziare con ca� 10 bolle al minuto nel contabolle JBL PROFLORA CO₂ TAIFUN COUNT SAFE per 100 l d‘acqua d‘acquario�
• Controllare dopo un giorno, se il valore nominale del pH impostato è stato raggiunto nell‘acquario e se il dispositivo disattiva di tanto in tanto l‘ap
-
porto di CO₂
• Se ciò non avviene, aumentare l‘apporto di CO₂ circa a 20 - 25 bolle� Se necessario, aumentare l‘apporto in piccolo passi sino a quando il dispositi-
vo eettui la regolazione di maniera che l‘apporto di CO₂ non venga disattivato all‘incirca da 3 a 6 volte al giorno
Osservare anche le istruzioni per l‘uso dell‘impianto di fertilizzazione Co2 in uso!
7. Le singole voci del menu
Descrizione della raggiungibilità, partendo dalla panoramica dei valori (cap� 4)�
7.1 Selezione lingua
Raggiungibile mediante:
Impostazioni > selezione Lingua > confermare con OK > selezionare la lingua desiderata > confermare con OK. Uscire digitando „Impost-
azioni“.
Si può scegliere tra 9 lingue per la guida attra
verso il menu:
DE/EN-UK/FR/NL/IT/DK/ES/PT/RO�
7.2 Calibrazione
Raggiungibile mediante:
Impostazioni > selezionare Calibrazione > confermare con OK > Avvio calibrazione > confermare con OK.
Il dispositivo eettua passo per passo una cosiddetta calibrazione a due punti� In ciò il dispositivo viene prima calibrato con la soluzione tampone pH
7,00 e successivamente con la pH 4,00, mai il contrario! Per l‘esecuzione della calibrazione vedi cap� 3�3, per ulteriori dettagli vedi cap� 8�1�
A calibrazione avvenuta viene impostato il tempo sino al promemoria per la prossima calibrazione nella panoramica dei valori (cap� 4) a 30 giorni/720
ore� Ciò corrisponde alle impostazioni di fabbrica�
È necessario calibrare il dispositivo, poiché il sensore del pH invecchia� Attraverso il procedimento di calibrazione si compensa l‘invecchiamento, la
strisciante alterazione dei valori misurati, del sensore del pH tramite il software�
7.3 Promemoria calibrazione
Raggiungibile mediante:
Impostazioni > selezionare Promemoria calibrazione > confermare con OK > selezionare un intervallo di tempo > confermare con OK.
Questa voce del menu vi consente di scegliere tra diversi intervalli di tempo sino al promemoria per la prossima calibrazione� Sono disponibili i segu
-
enti intervalli tra una calibrazione e l‘altra:
30 giorni
45 giorni
60 giorni
Sconsigliamo però assolutamente l‘impostazione di 60 giorni, da
to che ciascun sensore del pH invecchia costantemente e i valori misurati si scosta
-
no
Più spesso si calibra, più adabili sono le misurazioni�
7.4 Valore nominale del pH
Raggiungibile mediante:
Impostazioni > selezionare Valore nominale del pH > confermare con OK > selezionare con „più“ e „meno“ il pH desiderato > confermare
con OK.
Il valore nominale del pH appare nella panoramica dei valori (cap�4)�
Fare attenzione a impostare solo valori nominali del pH, che sono indicati come CO₂ corretto nella tabella in Cap� 6�
Come ulteriore sicurezza viene calcolata contemporaneamente per il valore nominale del pH anche la durezza carbonatica, per la quale questo valore
nominale sia sicuro per i pesci e garantisca comunque suciente CO₂ per le piante� Se il dispositivo calcola un valore di KH che sta oltre 1 grado al
di sotto del KH del vostro acquario, dovete essere assolutamente sicuri di volere questo valore prima di confermare con OK�
7.5 Auto pH
Raggiungibile mediante:
Impostazioni > selezionare Auto pH > confermare con OK > selezionare con „più“ e „meno“ il valore di KH desiderato > confermare con
OK.
Inserendo il valore di KH misurato per il vostro acquario, il dispositivo calcola automaticamente il valore nominale del pH adatto che garantisca un
livello di CO2 di ca� 22,5 mg/l� Questo valore del pH viene salvato automaticamente come valore nominale del pH, se dopo l‘inserimento di KH confer
-
mate con OK
Così ottenete una rigogliosa crescita delle piante e si evita sempre il pericolo per i pesci� I valori che si trovano alla base della funzione
auto pH sono riportati nella curva auto pH nella tabella in Cap� 6�
Auto pH è impostato di fabbrica a 8 °dKH (gradi tedeschi)�
Suggerimento: Qualora non siate sicuri quale sia il valore nominale del pH giusto, usate sempre la funzione auto pH�
Nota: Nel caso di modifica del valore nominale del pH a valori esterni alla curva auto pH, con impostazione della valvola su „man“, l‘auto pH viene
disattivato automaticamente�
ITIT
56 57

Table of Contents

Related product manuals