EasyManua.ls Logo

JBL PROFLORA CO2 CONTROL - 6�2 Ajustar la Cantidad de CO₂; 7�1 Seleccionar Idioma; CO₂, Dureza de Carbonatos (KH) y Valor del Ph; La Concentración de CO₂ y el Valor del Ph Adecuados

JBL PROFLORA CO2 CONTROL
Print Icon
To Next Page IconTo Next Page
To Next Page IconTo Next Page
To Previous Page IconTo Previous Page
To Previous Page IconTo Previous Page
Loading...
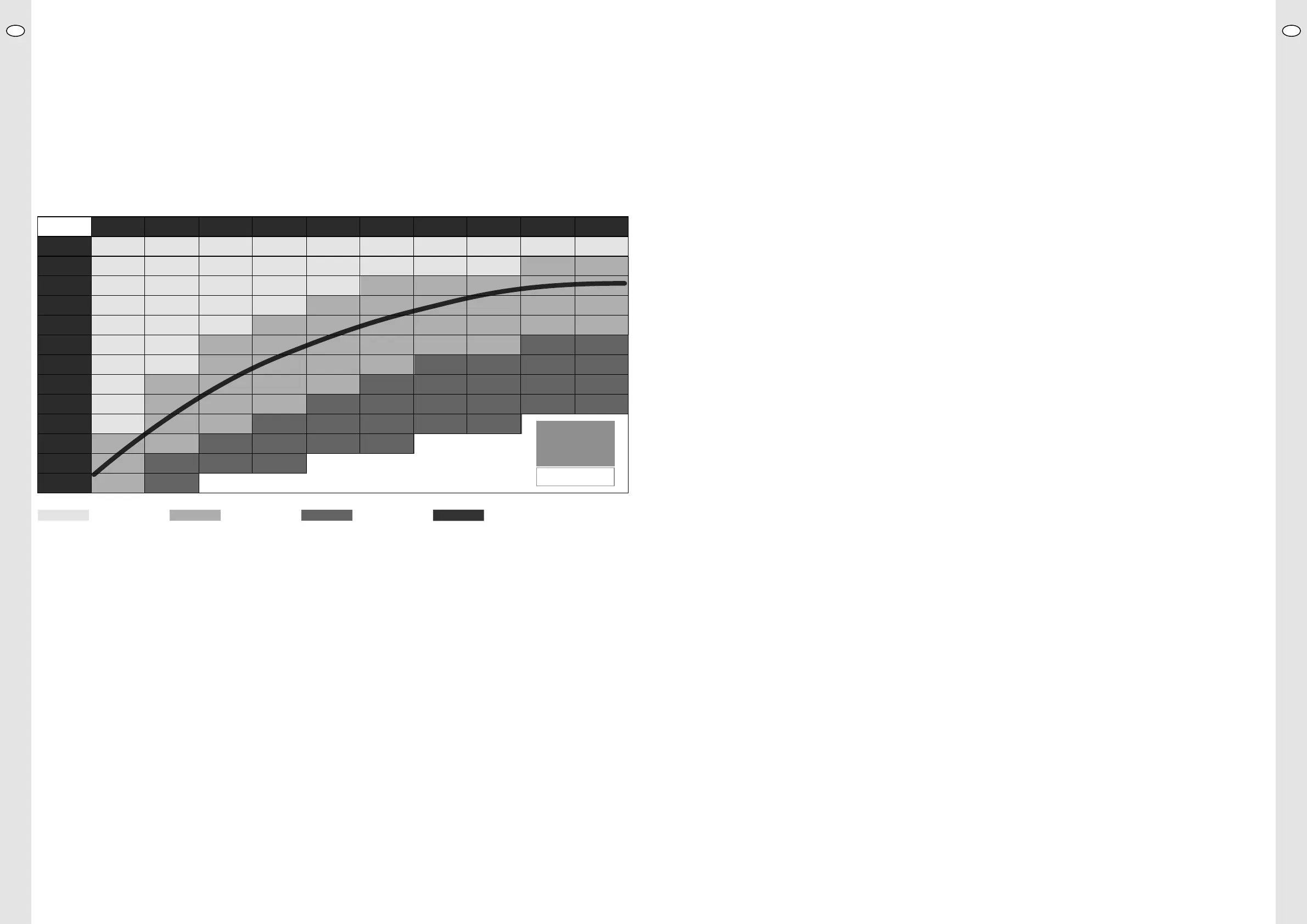
6. CO₂, dureza de carbonatos (KH) y valor del pH
Los tres parámetros concentración de CO₂, dureza de carbonatos y valor del pH están inseparablemente unidos entre sí, ya que existe una interde-
pendencia mutua
La cantidad de CO₂ requerida para mantener un valor del pH determinado depende de la KH en el acuario� Cuanto más elevada sea la KH, más CO₂
se requiere� Partiendo de los valores de KH y de pH se puede calcular la concentración de CO₂� La siguiente tabla le ahorra el cálculo y le muestra
también los valores de pH que usted puede ajustar como valor de referencia sin riesgo para sus peces�
No ajuste nunca aleatoriamente el valor de referencia del pH� Mida siempre primero la KH de su acuario, p� ej�, con JBL PROAQUATEST KH
Concentración de CO₂ en función del valor del pH y de la KH
KH 2
1
2
2
3
4
5
6
8
10
12
15
24
38
pH 7,8
pH 7,6
pH 7,4
pH 7,3
pH 7,2
pH 7,1
pH 7
pH 6,9
pH 6,8
pH 6,7
pH 6,6
pH 6,4
pH 6,2
KH 10
5
8
12
15
19
24
30
38
48
60
75
KH 4
2
3
5
6
8
10
12
15
19
24
30
48
76
KH 12
6
9
14
18
23
29
36
45
57
72
90
KH 6
3
5
7
9
11
14
18
23
29
36
45
72
KH 14
7
11
17
21
27
33
42
53
67
84
KH 18
9
14
21
27
34
43
54
68
86
KH 8
4
6
10
12
15
19
24
30
38
48
60
96
KH 16
9
12
19
24
30
38
48
60
76
96
KH 20
10
15
24
30
38
48
60
76
95
Tabelle · Table · Tableau
CO
2
muy poco CO₂ CO₂ correcto demasiado CO₂ curva de pH automático
(véase el cap. 6.1)
C0
2
(mg/l)
6.1 La concentración de CO₂ y el valor del pH adecuados
JBL recomienda una concentración de CO₂ en el agua del acuario de entre 15 y 30 mg/l� Este margen está marcado en la tabla anterior con «CO₂
correcto»� Se ha comprobado que el valor idóneo oscila entre los 20 y 25 mg/l� Este valor es inofensivo para los peces y, a su vez, garantiza una
vegetación exuberante� La función «Auto pH» se basa en el valor medio, es decir, 22,5 mg/l de CO₂ para calcular el valor de referencia del pH ade-
cuado
En casos especiales, p� ej�, en paisajismo acuático, puede que sean necesarias unas concentraciones de CO₂ de hasta 35 mg/l�
• Mida siempre primero la KH del agua de su acuario�
• Busque en el margen «CO₂ correcto» el valor del pH adecuado dependiendo de la KH y de la concentración de CO₂ deseada�
• Ajuste este valor de pH como valor de referencia en el aparato (véase el cap� 5)�
Es imprescindible ajustar solamente aquellos valores de pH que sean inofensivos para los peces� Esto significa, p� ej�, que no debería ajustar el pH a
menos de 7,00 si la KH fuese elevada� Si queremos ajustar unos valores de pH inferiores a 7,00, generalmente será necesario realizar la correspon
-
diente reducción de KH
Sugerencia: si activa la función «Auto pH» (véase el cap� 7�5), el aparato se encargará automáticamente de ajustar un valor de referencia del pH que
sea adecuado para la KH de su acuario y que garantiza el crecimiento espléndido de las plantas sin arriesgar la salud de los peces� Encontrará los
valores correspondientes en la curva de pH automático de la tabla anterior
6.2 Ajustar la cantidad de CO₂
La cantidad de CO₂ necesaria que ha de agregarse para alcanzar un determinado valor del pH depende de diferentes factores tales como la circula-
ción de agua, el consumo de las plantas, etc
�, y ha de determinarse individualmente para cada acuario�
• Comience con aprox� 10 burbujas por minuto en el contador de burbujas JBL PROFLORA CO₂ TAIFUN COUNT SAFE por cada 100 l de agua del
acuario�
• Controle pasado un día si se alcanza en el acuario el valor ajustado de referencia del pH y si el aparato desconecta de vez en cuando el suministro
de CO₂�
• De no ser así, aumente el suministro de CO₂ a aprox� 20-25 burbujas� De ser necesario, vaya aumentando el suministro poco a poco hasta que el
aparato regule de tal forma que se desconecte el suministro de CO₂ aprox� de 3 a 6 veces al día�
Tenga también en cuenta las instrucciones de uso del sistema fertilizante de CO₂ empleado�
7. Las opciones de menú una a una
Descripción de cómo acceder a ellas partiendo del cuadro de parámetros (cap� 4)�
7.1 Seleccionar idioma
Se accede de la siguiente manera:
Configuración > Seleccionar idioma > Confirmar con OK > Seleccionar idioma deseado > Confirmar con OK. Salga de este apartado del
menú pulsando «Configuración».
Se pueden seleccionar 9 idiomas para el menú que muestra la pantalla:
DE/EN-UK/FR/NL/IT/DK/ES/PT/RO�
7.2 Calibración
Se accede de la siguiente manera:
Configuración > Seleccionar Calibración > Confirmar con OK > Comienza calibración > Confirmar con OK.
El aparato le guiará paso a paso a través de la denominada calibración de dos puntos� Al hacerla, el aparato se calibrará primero con solución tam
-
pón de pH 7,00 y, a continuación, con solución tampón de pH 4,00
¡Nunca al revés! Véase el cap� 3�3 para realizar la calibración, y el cap� 8�1, para
consultar información más detallada�
Una vez realizada la calibración correctamente, en el cuadro de parámetros (cap� 4) se restablecerá a 30 días/720 horas el tiempo restante hasta el
próximo recordatorio de calibración� Esto se corresponde con la configuración de fábrica�
El aparato debe calibrarse porque el sensor de pH está sujeto a envejecimiento� El proceso de calibración compensa el envejecimiento –el cambio
paulatino de los valores de medición– del sensor de pH mediante un software�
7.3 Recordatorio de calibració
Se accede de la siguiente manera:
Configuración > Seleccionar Recordatorio de calibración > Confirmar con OK > Seleccionar intervalo > Confirmar con OK.
Esta opción de menú le permite elegir entre distintos periodos para que se emita el próximo recordatorio de calibración� Hay disponibles los siguien
-
tes intervalos de calibración:
30 días
45 días
60 días
No obstante, no le aconsejamos en absoluto configurar el inter
valo de 60 días, ya que cada sensor de pH envejece de forma continuada y los valores
medidos pueden variar Cuanta mayor sea la frecuencia con la que realice una calibración, más fiables serán las mediciones�
7.4 Valor de referencia del pH
Se accede de la siguiente manera:
Configuración > Seleccionar Valor de referencia pH > Confirmar con OK > Seleccionar el valor de pH deseado pulsando «más» o «menos»
> Confirmar con OK.
El valor configurado de referencia del pH aparece en el cuadro de parámetros (cap� 4)�
Tenga presente configurar únicamente aquellos valores de referencia del pH que estén señalados como «CO₂ correcto» en la tabla del cap� 6�
Para proporcionarle aún una mayor certeza, se calculará al mismo tiempo la dureza de carbonatos correspondiente a la que este valor de referencia
configurado es seguro para los peces garantizando también suficiente CO₂ para las plantas� Si el aparato calculase un valor de KH más de 1 grado
(°dKH) inferior a la KH de su acuario, usted debería estar absolutamente seguro de que quiere dejar este valor antes de confirmarlo con OK�
7.5 Auto pH [= pH automático]
Se accede de la siguiente manera:
Configuración > Seleccionar Auto pH > Confirmar con OK > Seleccionar el valor de KH deseado pulsando «más» o «menos» > Confirmar
con OK.
Introduzca la KH medida en su acuario y el aparato calculará automáticamente el valor de referencia del pH adecuado que garantiza una concentra
-
ción de CO₂ de aprox
22,5 mg/l� Este valor de pH se memoriza automáticamente como valor de referencia del pH si confirma pulsando OK después
de haber introducido la KH� Esto le permite disfrutar de un crecimiento espléndido de las plantas sin arriesgar nunca la salud de sus peces� En la
curva de pH automático de la tabla del cap� 6 puede ver los valores en los que se basa la función «Auto pH»�
Auto pH está ajustado de fábrica a 8 °dKH (grados alemanes)�
ESES
80 81

Table of Contents

Related product manuals