EasyManua.ls Logo

JBL PROFLORA CO2 CONTROL - 6�2 Instellen Van de Hoeveelheid CO₂; 7� Afzonderlijke Menupunten; CO₂, Carbonaathardheid (KH) en Ph; De Juiste Hoeveelheid CO₂ en de Juiste Ph

JBL PROFLORA CO2 CONTROL
Print Icon
To Next Page IconTo Next Page
To Next Page IconTo Next Page
To Previous Page IconTo Previous Page
To Previous Page IconTo Previous Page
Loading...
NLNL
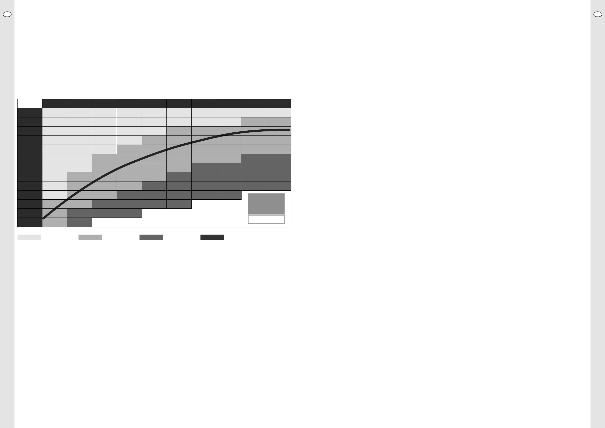
6. CO₂, carbonaathardheid (KH) en pH
De drie parameters CO₂-gehalte, carbonaathardheid en pH zijn vast met elkaar verbonden, omdat ze van elkaar afhankelijk zijn�
Hoeveel CO₂ nodig is om een bepaalde pH te verkrijgen, hangt af van de KH in het aquarium� Hoe hoger de KH, des te meer CO₂ je nodig hebt� Zijn
KH en pH bekend, dan is het CO₂-gehalte berekenbaar De tabel hieronder maakt dit overbodig; de tabel geeft ook aan welke pH-waarden u zonder
gevaar voor uw vissen als gewenste waarden kunt invoeren�
Voer nooit zomaar een paar pH-waarden in� Bepaal altijd eerst de KH in uw aquarium, bv� met behulp van JBL PROAQUATEST KH
CO₂-gehalte als functie van pH en KH
KH 2
1
2
2
3
4
5
6
8
10
12
15
24
38
pH 7,8
pH 7,6
pH 7,4
pH 7,3
pH 7,2
pH 7,1
pH 7
pH 6,9
pH 6,8
pH 6,7
pH 6,6
pH 6,4
pH 6,2
KH 10
5
8
12
15
19
24
30
38
48
60
75
KH 4
2
3
5
6
8
10
12
15
19
24
30
48
76
KH 12
6
9
14
18
23
29
36
45
57
72
90
KH 6
3
5
7
9
11
14
18
23
29
36
45
72
KH 14
7
11
17
21
27
33
42
53
67
84
KH 18
9
14
21
27
34
43
54
68
86
KH 8
4
6
10
12
15
19
24
30
38
48
60
96
KH 16
9
12
19
24
30
38
48
60
76
96
KH 20
10
15
24
30
38
48
60
76
95
Tabelle · Table · Tableau
CO
2
te weinig CO₂ CO₂ goed Te veel CO
2
auto pH-curve (zie punt 6.1)
C0
2
(mg/l)
6.1 De juiste hoeveelheid CO₂ en de juiste pH
JBL adviseert een CO₂-gehalte in aquariumwater van ergens tussen 15 en 30 mg/l� Dit bereik ziet u in de tabel hierboven onder het hoofdje „CO₂
goed“� Het is gebleken dat een gehalte tussen 20 en 25 mg/l ideaal is� Dit gehalte ist ongevaarlijk voor vissen en zorgt tegelijk voor weelderig
groeiende planten� De functie „Auto-pH“ baseert op een gemiddelde, d�w�z� op 22,5 mg/l CO₂ dat voor het berekenen van de gewenste pH wordt
genomen�
In bijzondere gevallen, bv bij het aquascapen, kan een CO₂-gehalte van maximaal 35 mg/l noodzakelijk zijn�
•Meet altijd eerst de KH van uw aquariumwater
•Zoek vervolgens in het veld „CO₂ goed“ die pH die bij uw KH en het gewenste CO₂-gehalte past�
•Voer de gevonden pH in in het apparaat als gewenste pH (zie hoofdstuk 5)�
Zorg er echter altijd voor dat u alleen pH’s invoert die ongevaarlijk zijn voor vissen� Dat betekent bijvoorbeeld dat u bij een hoge KH beter geen pH
van minder dan 7,00 kunt invoeren� Als u toch een pH van minder dan 7,00 wilt invoeren, moet u in de meeste gevallen de KH verlagen�
Tip: Wanneer u de functie „auto pH“ activeert (zie 7�5), bepaalt het apparaat automatisch de pH die bij de KH van uw aquarium past en voor goed
groeiende planten zorgt zonder uw vissen in gevaar te brengen� De waarden zijn in vorm van een „auto pH-curve” in bovenstaande tabel aangege
-
ven
6.2 Instellen van de hoeveelheid CO₂
De voor de gewenste pH vereiste hoeveelheid CO₂ die aan het water toegevoegd moet worden, hang af van een aantal factoren, bv beweging van
het water, verbruik door de planten enz�, en moet voor ieder aquarium apart worden berekend�
• Begin met ongeveer 10 belletjes per minuut in de JBL PROFLORA CO₂ TAIFUN COUNT SAFE bellenteller per 100 l aquariumwater
• Controleer een dag later of de ingestelde gewenste pH in het aquarium bereikt is en het apparaat de CO₂-toevoer zo nu en dan uitschakelt�
• Als dit niet zo is, verhoog dan de CO₂-toevoer naar ca� 20 – 25 belletjes� Zo nodig, de toevoer in kleine stappen verder opvoeren tot het apparaat de
CO₂-toevoer ongeveer 3- tot 6-maal per dag uitschakelt�
Zie hiertoe eveneens de gebruiksaanwijzingen van het door u gebruikte CO₂-bemestingssysteem!
7. Afzonderlijke menupunten
„Waar vind ik wat?“ uitgaande van het waardenoverzicht (hoofdstuk 4)�
7.1 Taalkeuze
Vindplaats:
Instellingen > taalkeuze > met OK bevestigen > gewenste taal selecteren > met OK bevestigen. Klaar? Dan weer op „Instellingen“ klikken.
U kunt uw keuze maken uit 9 talen om door het menu van de display te navigeren: DE/EN-UK/FR/NL/IT/DK/ES/PT/RO�
7.2 Kalibratie
Vindplaats:
Instellingen > kalibratie selecteren > met OK bevestigen > start kalibratie > met OK bevestigen.
Het apparaat leidt u stap voor stap door een zogen� tweepuntskalibratie� Daarbij wordt het apparaat eerst met de buervloeistof pH 7,00 en daarna
met buervloeistof pH 4,00 gekalibreerd, nooit omgekeerd! Voor het uitvoeren van de kalibratie, zie punt 3�3, voor verdergaande details, zie punt 8�1�
Nadat de kalibratie voltooid is, wordt de tijd die u wilt laten verstrijken tot u aan de volgende kalibratie wordt herinnerd teruggezet in het waardeno
-
verzicht (zie hoofdstuk 4) naar 30 dagen/720 uur
Deze tijd komt overeen met de instelling vanaf fabriek�
Het apparaat moet gekalibreerd worden, omdat de pH-sensor ouder wordt� Door het kalibreren wordt de veroudering, d�w�z� de geleidelijke verande-
ring van de gemeten waarden, van de pH sensor door de software gecompenseerd
7.3 Kalibratieherinnering
Vindplaats:
Instellingen > kalibratieherinnering selecteren > met OK bevestigen > interval selecteren > met OK bevestigen.
Hier kunt u kiezen na hoeveel tijd u aan de volgende kalibratie herinnerd wilt worden� Keuzemogelijkheden:
30 dagen
45 dagen
60 dagen
Van de instelling 60 dagen raden we u af, omdat iedere pH sensor onophoudelijk ouder wordt en de gemeten waarden steeds verder afwijken� Hoe
vaker u dus kalibreert, des te betrouwbaarder de gemeten waarden�
7.4 Gewenste waarde van de pH
Vindplaats:
Instellingen > gewenste pH selecteren > met OK bevestigen > met „plus“ und „min“ de gewenste pH selecteren > met OK bevestigen.
De ingestelde gewenste pH-waarde verschijnt in het waardenoverzicht (hoofdstuk 4)�
Wij raden u aan alleen die pH-waarden in te voeren die in de tabel in hoofdstuk 6 onder „CO₂ goed” zijn vermeld�
Voor nog meer zekerheid wordt behalve de ingevoerde gewenste waarde ook de carbonaathardheid berekend, waarbij de gewenste pH voor de
vissen ongevaarlijk is maar voor de planten voldoende is om goed te groeien� Als de door het apparaat berekende KH meer dan 1 graad (°dKH) onder
de KH in uw aquarium ligt, moet u nog eens goed nadenken of uw gewenste pH echt de bedoeling is, voordat u de juistheid met uw OK bevestigt�
7.5 Auto pH
Vindplaats:
Instellingen > Auto pH selecteren > met OK bevestigen > met „plus“ en „min“ de gewenste KH-waarde selecteren > met OK bevestigen.
Nadat u de in uw aquarium gemeten KH hebt ingevoerd, berekent het apparaat automatisch de bijbehorende gewenste pH-waarde die voor een
CO2-gehalte van ca� 22,5 mg/l zorgt� Deze pH wordt automatisch als gewenste pH opgeslagen, als u na invoer van de KH met OK bevestigt� Nu kunt
u zeker zijn van mooie planten zonder gevaar voor uw vissen� De waarden waarop de functie Auto pH baseert, zijn in de tabel in hoofdstuk 6 als Auto
pH curve afgebeeld�
Vanaf fabriek bedraagt de Auto pH 8 °dKH (Duitse graden)�
Tip: Als u niet zeker bent welke pH u moet kiezen, gebruik dan altijd de Auto pH-functie�
Opmerking: Als u de gewenste pH in een waarde verandert die buiten de Auto pH-curve ligt en bij de de instelling „Klep man“ (handmatig bediend)
wordt Auto pH automatisch deactiveerd�
7.6 Hysteresis
Vindplaats:
Instellingen > hysteresis selecteren > met OK bevestigen > met „plus“ en „min“ de gewenste waarde selecteren > met OK bevestigen.
Onder hysteris verstaat men schakelpunten� Om onnodig vaak schakelen van de magneetklep te voorkomen, voert men een bovenste en onderste
grens in waarmee de gemeten pH van de gewenste pH mag afwijken voordat de magneetklep in werking treedt� Dit vermindert slijtage van de ma
-
gneetklep
Een voorbeeld van het regelgedrag vindt u in hoofdstuk 5�1� U kunt een waarde kiezen tussen 0,1 en 0,5 pH-eenheden� Instelling vanaf
fabriek: 0,1 pH�
44 45

Table of Contents

Related product manuals