EasyManua.ls Logo

JBL PROFLORA CO2 CONTROL - Page 47

JBL PROFLORA CO2 CONTROL
Print Icon
To Next Page IconTo Next Page
To Next Page IconTo Next Page
To Previous Page IconTo Previous Page
To Previous Page IconTo Previous Page
Loading...
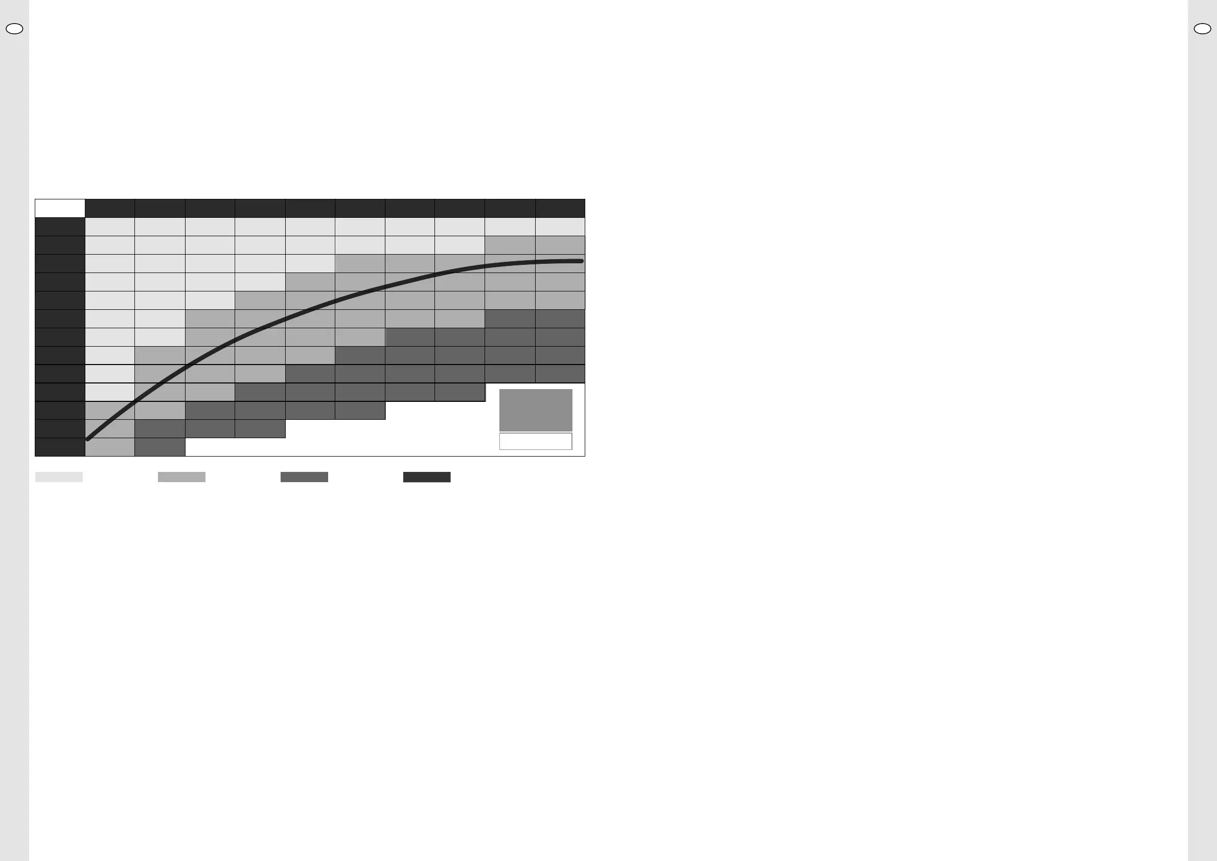
6. CO₂, dureza carbonatada (KH) e valor do pH
Os três parâmetros de teor de CO₂, dureza carbonatada e valor do pH estão interligados inseparavelmente, devido à sua interdependência�
A quantidade de CO₂ necessária para alcançar um determinado valor de pH depende da KH no aquário� Quanto mais elevada a KH, mais CO₂ é ne-
cessário
Se os valores da KH e do pH forem conhecidos, é possível calcular o teor de CO₂� A tabela seguinte poupa-lhe os cálculos e mostra também
os valores de pH que pode configurar como valores-alvo sem perigo para os seus peixes�
Nunca configure valores-alvo de pH aleatórios� Determine sempre primeiro a KH no seu aquário, por exemplo, com o JBL PROAQUATEST KH
Teor de CO2 em função do valor de pH e da KH
KH 2
1
2
2
3
4
5
6
8
10
12
15
24
38
pH 7,8
pH 7,6
pH 7,4
pH 7,3
pH 7,2
pH 7,1
pH 7
pH 6,9
pH 6,8
pH 6,7
pH 6,6
pH 6,4
pH 6,2
KH 10
5
8
12
15
19
24
30
38
48
60
75
KH 4
2
3
5
6
8
10
12
15
19
24
30
48
76
KH 12
6
9
14
18
23
29
36
45
57
72
90
KH 6
3
5
7
9
11
14
18
23
29
36
45
72
KH 14
7
11
17
21
27
33
42
53
67
84
KH 18
9
14
21
27
34
43
54
68
86
KH 8
4
6
10
12
15
19
24
30
38
48
60
96
KH 16
9
12
19
24
30
38
48
60
76
96
KH 20
10
15
24
30
38
48
60
76
95
Tabelle · Table · Tableau
CO
2
Falta de CO₂ CO₂ correto Excesso de CO₂ Curva Auto pH (ver cap. 6.1)
C0
2
(mg/l)
6.1 A quantidade certa de CO₂ e o valor correto de pH
A JBL recomenda um teor de CO₂ na água do aquário entre 15 e 30 mg/l� Esta área está indicada na tabela acima com “CO₂ correto“� Os valores
de 20 a 25 mg/l revelaram-se ideais� Este valor é inofensivo para os peixes e garante simultaneamente um crescimento luxuriante das plantas� A
função Auto pH utiliza o valor médio, nomeadamente 22,5 mg/l de CO₂, como base para o cálculo do valor-alvo de pH adequado�
Em casos especiais, por exemplo, em paisagismo aquático, também podem ser necessários teores de CO₂ até 35 mg/l�
• Meça sempre primeiro a KH da água do seu aquário�
• Na área “CO₂ correto”, procure o valor de pH adequado à KH e ao teor de CO₂ desejado�
• Configure esse valor de pH como valor-alvo no aparelho (ver cap� 5)�
Preste muita atenção para configurar apenas valores de pH que não sejam perigosos para os peixes� Ou seja, por exemplo, no caso de KH elevada,
não deve configurar valores de pH inferiores a 7,00� Se desejar configurar valores de pH inferiores a 7,00, é geralmente necessária uma redução
correspondente da KH�
Dica: se ativar a função Auto pH (ver cap� 7�5), o aparelho assume automaticamente a configuração de um valor-alvo de pH, adequado à KH do seu
aquário e que garante um excelente crescimento das plantas, sem prejudicar os peixes� Os valores correspondentes encontram-se na tabela acima
como curva Auto pH�
6.2 Configuração da quantidade de CO₂
A quantidade de CO₂ necessária para o valor de pH desejado que deve ser adicionada depende de diversos fatores, como movimentação da água,
consumo pelas plantas, etc� e deve ser determinada individualmente para cada aquário�
• Comece com cerca de 10 bolhas por minuto no contador de bolhas JBL PROFLORA CO₂ TAIFUN COUNT SAFE por 100 l de água do aquário�
• Um dia depois, verifique se o valor-alvo do pH configurado é atingido no aquário e se o aparelho desliga o fornecimento de CO₂ de vez em quando�
• Se não for o caso, aumente o fornecimento de CO₂ para cerca de 20 - 25 bolhas� Se necessário, continue a aumentar o fornecimento em passos
pequenos, até que o aparelho faça a regulação para que o fornecimento de CO₂ seja desligado ca� 3 a 6 vezes por dia�
Observe também o manual de instruções do sistema de fertilização de CO₂ utilizado!
7. Os itens do menu individuais
Descrição do acesso a partir da visão geral de valores (cap� 4)�
7.1 Seleção do idioma
Acesso através de:
Configurações > Seleção de idioma > confirmar com “OK” > selecionar idioma desejado > confirmar com “OK”. Para sair, tocar em “Con-
figurações”.
É possível selecionar 9 idiomas para navegar no menu do ecrã:
DE/EN-UK/FR/NL/IT/DK/ES/PT/RO�
7.2 Calibração
Acesso através de:
Configurações > selecionar “Calibração” > confirmar com “OK” > “Iniciar calibração” > confirmar com “OK”.
O aparelho vai conduzi-lo passo a passo pela chamada calibração de dois pontos� Para isso, o aparelho é calibrado primeiro com a solução tampão
de pH 7,00 e depois com a solução tampão de pH 4,00, nunca ao contrário! Para a realização da calibração, veja o cap� 3�3, para mais detalhes, veja
o cap� 8�1�
Após a realização da calibração, o tempo até ao próximo lembrete para calibração na visão geral de valores (cap� 4) é reposto para 30 dias/720
horas� Isso corresponde à configuração de fábrica�
O aparelho deve ser calibrado, pois o sensor de pH envelhece� Através do processo de calibração, o envelhecimento do sensor de pH, ou seja, a
mudança progressiva dos valores de medição, é compensado por software�
7.3 Lembrete para calibração
Acesso através de:
Configurações > selecionar “Lembrete para calibração” > confirmar com “OK” > selecionar intervalo de tempo > confirmar com “OK”.
Este item de menu oferece a possibilidade de escolher entre diferentes períodos até ao próximo lembrete para calibração� Estão disponíveis os
seguintes intervalos de calibração:
30 dias
45 dias
60 dias
No entanto, desaconselhamos fortemente selecionar a definição de 60 dias, uma vez que o sensor de pH envelhece continuamente e os valores
medidos mudam� Portanto, quanto mais vezes calibrar, mais confiáveis serão as medições�
7.4 Valor-alvo para o pH
Acesso através de:
Configurações > selecionar “Valor-alvo de pH” > confirmar com “OK” > selecionar valor de pH desejado com “mais” e “menos” > confir-
mar com “OK”.
O valor-alvo de pH configurado a
parece na visão geral de valores (cap� 4)�
Certifique-se de que configura apenas os valores-alvo de pH indicados como “CO₂ correto” na tabela no cap� 6�
Como segurança adicional para si, é calculada em simultâneo, para o valor-alvo configurado, a dureza carbonatada para a qual este valor-alvo é se
-
guro para os peixes e que ainda assim garante o fornecimento suficiente de CO₂ para as plantas
Se o aparelho calcular um valor de KH que se situe
a mais de 1 grau (°dKH) abaixo da KH no seu aquário, é essencial ter a certeza de que deseja esse valor antes de o confirmar com “OK”
7.5 Auto pH
Acesso através de:
Configurações > selecionar “Auto pH” > confirmar com “OK” > selecionar valor de KH desejado com “mais” e “menos” > confirmar com
“OK”.
Introduza a KH medida no seu aquário e o aparelho calcula automaticamente o valor-alvo de pH que garante um teor de CO₂ de cerca de 22,5 mg/l�
Este valor de pH é gravado automaticamente como valor-alvo de pH, se confirmar com “OK” depois de inserir a KH� Desta forma, tem sempre um
excelente crescimento das plantas e não há nunca perigo para os peixes� Os valores em que se baseia a função Auto pH estão representados como
curva Auto pH na tabela no cap� 6�
O Auto pH vem configurado de fábrica como 8 °dKH (graus alemães)�
Dica: se não tiver a certeza de qual é o valor-alvo de pH correto, utilize sempre a função Auto pH�
Nota: em caso de alteração do valor-alvo do pH para valores fora da curva Auto pH e em caso de configuração da válvula como “man”, a função Auto
pH é automaticamente desativada�
PTPT
92 93

Table of Contents

Related product manuals