EasyManua.ls Logo

JBL PROFLORA CO2 CONTROL - Page 53

JBL PROFLORA CO2 CONTROL
Print Icon
To Next Page IconTo Next Page
To Next Page IconTo Next Page
To Previous Page IconTo Previous Page
To Previous Page IconTo Previous Page
Loading...
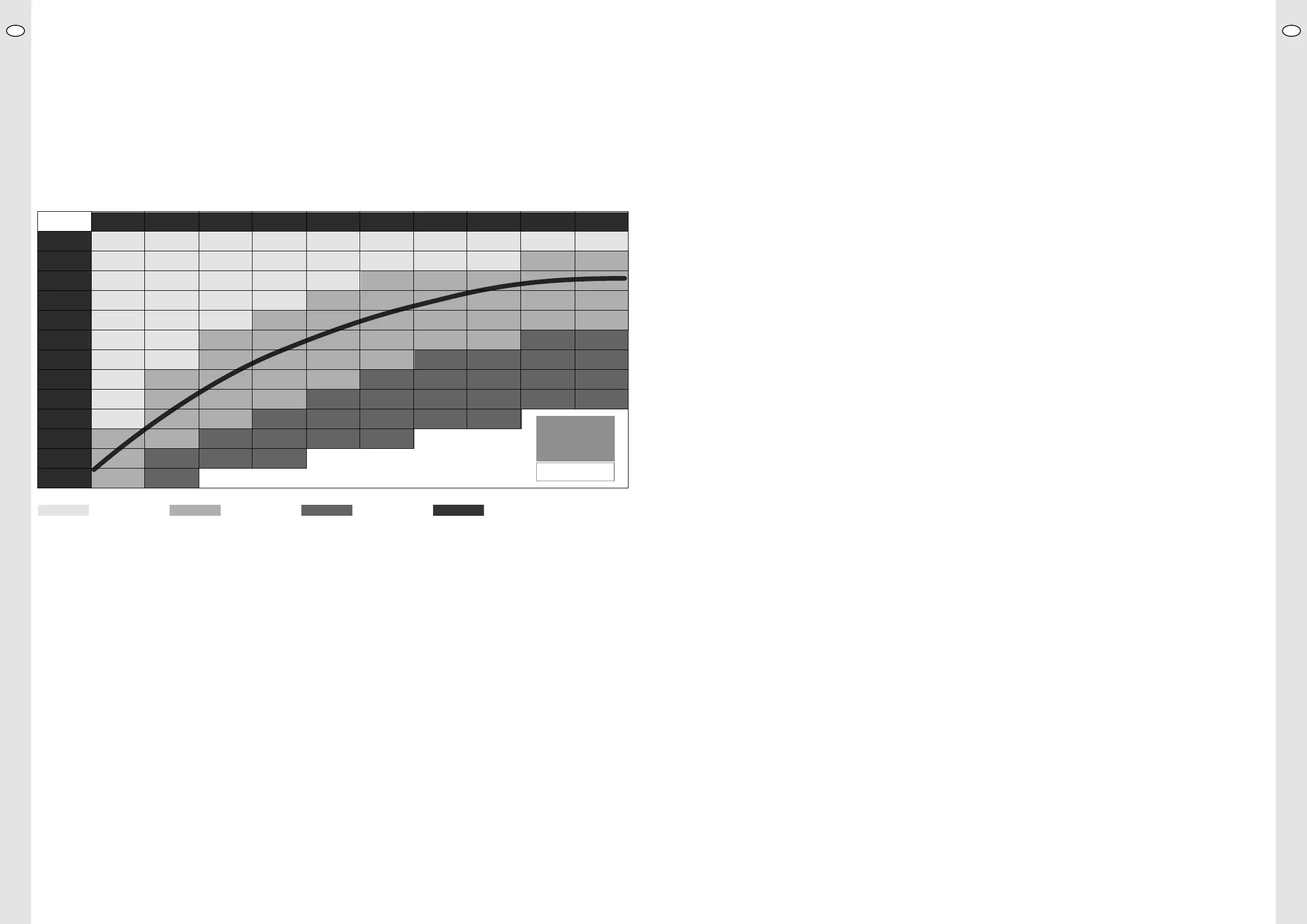
6. CO₂, twardość węglanowa (KH) i współczynnik pH
Trzy parametry: zawartość CO₂, twardość węglanowa i współczynnik pH są ze sobą nierozerwalnie związane, ponieważ pozostają względem siebie w
stosunku zależności�
To, ile CO₂ potrzeba do utrzymania określonej wartości współczynnika pH, zależy od KH w akwarium� Im wyższa jest KH, tym więcej potrzeba CO₂�
Jeżeli znane są wartości KH i pH, wówczas można obliczyć zawartość CO₂� Poniższa tabela pozwoli zaoszczędzić sobie obliczeń, a także pokazuje
wartości współczynnika pH, które można ustawić jako wartości zadane bez sprowadzania zagrożenia dla ryb�
Nigdy nie ustawiać przypadkowo wartości zadanych pH� Zawsze najpierw należy określić wartość KH w swoim akwarium, np� za pomocą
JBL PROAQUA
TEST KH
Zawartość CO₂ w zależności od współczynnika pH i KH
KH 2
1
2
2
3
4
5
6
8
10
12
15
24
38
pH 7,8
pH 7,6
pH 7,4
pH 7,3
pH 7,2
pH 7,1
pH 7
pH 6,9
pH 6,8
pH 6,7
pH 6,6
pH 6,4
pH 6,2
KH 10
5
8
12
15
19
24
30
38
48
60
75
KH 4
2
3
5
6
8
10
12
15
19
24
30
48
76
KH 12
6
9
14
18
23
29
36
45
57
72
90
KH 6
3
5
7
9
11
14
18
23
29
36
45
72
KH 14
7
11
17
21
27
33
42
53
67
84
KH 18
9
14
21
27
34
43
54
68
86
KH 8
4
6
10
12
15
19
24
30
38
48
60
96
KH 16
9
12
19
24
30
38
48
60
76
96
KH 20
10
15
24
30
38
48
60
76
95
Tabelle · Table · Tableau
CO
2
Zbyt mało CO₂ CO2 wartość
prawidłowa
Zbyt dużo CO₂ Krzywa auto pH (patrz r
ozdz. 6.1)
C0
2
(mg/l)
6.1 Prawidłowa ilość CO₂ i prawidłowy współczynnik pH
JBL zaleca zawartość CO₂ w wodzie akwariowej pomiędzy 15 a 30 mg/l� Ten zakres jest oznaczony w powyższej tabeli jako „CO₂ wartość
prawidłowa” Okazało się, że idealna wartość to 20-25 mg/l� Wartość ta jest nieszkodliwa dla ryb, a jednocześnie zapewnia okazałą roślinność� Funk-
cja Auto-pH wykorzystuje średnią wartość, a mianowicie 22,5 mg/l CO₂, jako podstawę do obliczenia odpowiedniej wartości zadanej pH
W szczególnych przypadkach, np� w aquascaping, konieczne mogą być również zawartości CO₂ do 35 mg/l�
• Zawsze najpierw należy zmierzyć KH wody w akwarium�
• W obszarze „CO₂ wartość prawidłowa” należy poszukać wartości współczynnika pH odpowiadającej wartości KH i żądanej zawartości CO₂�
• Tę wartość pH należy ustawić jako wartość zadaną na urządzeniu (patrz rozdz� 5)�
Należy bezwzględnie zwrócić uwagę na to, żeby ustawiać wyłącznie takie wartości współczynnika pH, które są nieszkodliwe dla ryb� Oznacza to np�,
że przy wysokim poziomie KH nie należy ustawiać wartości współczynnika pH poniżej 7,00� Jeżeli chcą Państwo ustawić wartości współczynnika pH
poniżej 7,00, zwykle niezbędna jest odpowiednia redukcja wartości KH�
Wskazówka: Jeżeli aktywowana zostanie funkcja auto pH (patrz rozdz� 7�5),wczas urządzenie automatycznie przejmie ustawianie wartości zada
-
nej pH, która odpowiada KH w akwarium i zapewni okazały wzrost roślin bez sprowadzania zagrożenia dla ryb
Odpowiednie wartości można znaleźć
jako krzywą auto pH w powyższej tabeli�
6.2 Ustawianie ilości CO₂
Ilość CO₂ niezbędną do uzyskania żądanej wartości pH, którą należy dodać, zależy od różnych czynników, takich jak ruch wody, zużycie przez rośliny
itp�, i musi być ona ustalana indywidualnie dla każdego akwarium�
• Należy zacząć od ok� 10 bąbelków na minutę w liczniku bąbelków JBL PROFLORA CO₂ TAIFUN COUNT SAFE na 100 l wody w akwarium�
• Po jednym dniu skontrolować, czy w akwarium została osiągnięta ustawiona wartość zadana pH i czy urządzenie co jakiś czas wyłącza dopływ
CO₂�
• Jeżeli tak nie jest, należy zwiększyć dopływ CO₂ do ok� 20-25 bąbelków W razie potrzeby zwiększać dopływ w kolejnych małych krokach,
urządzenie dokona takiej regulacji, że dopływ CO₂ będzie wyłączany około 3 do 6 razy dziennie�
Przestrzegać również instrukcji obsługi stosowanego urządzenia do nawożenia CO₂!
7. Poszczególne punkty menu
Opis dostępności na podstawie wykazu wartości (rozdz� 4)�
7.1 Wybór języka
Sposób ustawienia:
Einstellungen [Ustawienia] > Sprachwahl [Wybór języka] > Potwierdź za pomocą OK > Wybierz żądany język > Potwierdź za pomocą OK.
Wyjdź, klikając „Einstellungen” [Ustawienia].
Dla menu wskazanego na wyświetlaczu można wybrać 9 języków:
DE/EN-UK/FR/NL/IT/DK/ES/PT/RO�
7.2 Kalibracja
Sposób ustawienia:
Enstellungen [Ustawienia] > Kalibrierung wählen [Wybierz kalibrację] > Potwierdź za pomocą OK > Start Kalibrierung [Rozpocznij
kalibrację] > Potwierdź za pomocą OK.
Urządzenie przeprowadzi użytkownika krok po kroku przez tak zwaną kalibrację dwupunktową� Urządzenie należy przy tym najpierw kalibrować przy
użyciu roztworu buforowego o pH 7,00, a następnie przy użyciu roztworu buforowego o pH 4,00, nigdy odwrotnie! Aby przeprowadzić kalibrację patrz
rozdz� 3�3, więcej szczegółów patrz rozdz� 8�1�
Po zakończeniu kalibracji czas do następnego przypomnienia o kalibracji jest resetowany w wykazie wartości (rozdz� 4) do 30 dni / 720 godzin�
Odpowiada to ustawieniu fabrycznemu�
Urządzenie trzeba kalibrować, ponieważ czujnik pH starzeje się� Proces kalibracji kompensuje starzenie się, stopniową zmianę zmierzonych wartości,
czujnika pH za pomocą oprogramowania�
7.3 Przypomnienie o kalibracji
Sposób ustawienia:
Einstellungen [Ustawienia] > Kalibrier-Erinnerung wählen [Wybierz przypomnienie o kalibracji] > Potwierdź za pomocą OK > Zeitintervall
wählen [Wybierz interwał czasowy] > Potwierdź za pomocą OK.
Ta pozycja menu umożliwia wybór między różnymi czasami do następnego przypomnienia o kalibracji� Dostępne są następujące interwały kalibracji:
30 dni
45 dni
60 dni
Jednak zdecydowanie odradzamy ustawianie 60 dni, ponieważ każdy czujnik pH systematycznie starzeje się, a zmierzone wartości zmieniają się�
Dlatego też im częściej dokonywana jest kalibracja, tym bardziej wiarygodne są pomiary�
7.4 Wartość zadana dla pH
Sposób ustawienia:
Einstellungen [Ustawienia] > Sollwert pH wählen [Wybierz wartość żądaną pH] > Potwierdź za pomocą OK > Wybierz żądaną wartość pH
za pomocą „plus” i „minus” > Potwierdź za pomocą OK.
Ustawiona wartość zadana pH pojawi się w wykazie wartości (rozdz� 4)�
Należy mieć na uwadze, żeby ustawiać wyłącznie takie wartości zadane pH, które są oznaczone w tabeli w rozdz� 6 jako CO₂ wartość prawidłowa�
Jako dodatkowe zabezpieczenie do ustawionej wartości zadanej obliczana jest jednocześnie twardość węglanowa, przy której ta wartość zadana jest
bezpieczna dla ryb, a mimo to gwarantuje wystarczającą ilość CO₂ dla roślin� Jeżeli urządzenie obliczy wartość KH, która jest niższa niż o 1 stopień
(°dKH) o KH w danym akwarium,wczas można mieć absolutną pewność, że ta wartość jest pożądana, zanim zostanie ona potwierdzona za
pomocą OK�
7.5 Auto pH
Sposób ustawienia:
Einstellungen [Ustawienia] > Wybierz auto pH > Potwierdź za pomocą OK > Wybierz żądaną wartość KH za pomocą „plus” i „minus” >
Potwierdź za pomocą OK.
Państwo wprowadzają wartość KH zmierzoną w akwarium, a urządzenie automatycznie oblicza odpowiednią wartość zadaną pH, która zapewnia
zawartość CO₂ na poziomie ok� 22,5 mg/l� Ta wartość współczynnika pH jest automatycznie zapisywana jako wartość zadana pH, jeżeli po wpro
-
wadzeniu KH nastąpi potwierdzenie za pomocą OK
W ten sposób uzyskuje się okazałą roślinność i nigdy nie istnieje zagrożenie dla ryb� Wartości, na
których bazuje funkcja Auto pH, są pokazane jako krzywa auto pH w tabeli w rozdz� 6�
Auto pH jest ustawione fabrycznie na 8 °dKH (stopnie niemieckie)�
Wskazówka: Jeżeli nie ma pewności, która wartość zadana pH jest właściwa, zawsze należy używać funkcji auto pH�
Wskazówka: W przypadku zmiany wartości zadanej pH na wartości poza krzywą auto pH i jeżeli zawór jest ustawiony na „man”, wówczas funkcja
auto pH zostanie automatycznie wyłączona�
PLPL
104 105

Table of Contents

Related product manuals