EasyManua.ls Logo

JBL PROFLORA CO2 CONTROL - Page 59

JBL PROFLORA CO2 CONTROL
Print Icon
To Next Page IconTo Next Page
To Next Page IconTo Next Page
To Previous Page IconTo Previous Page
To Previous Page IconTo Previous Page
Loading...
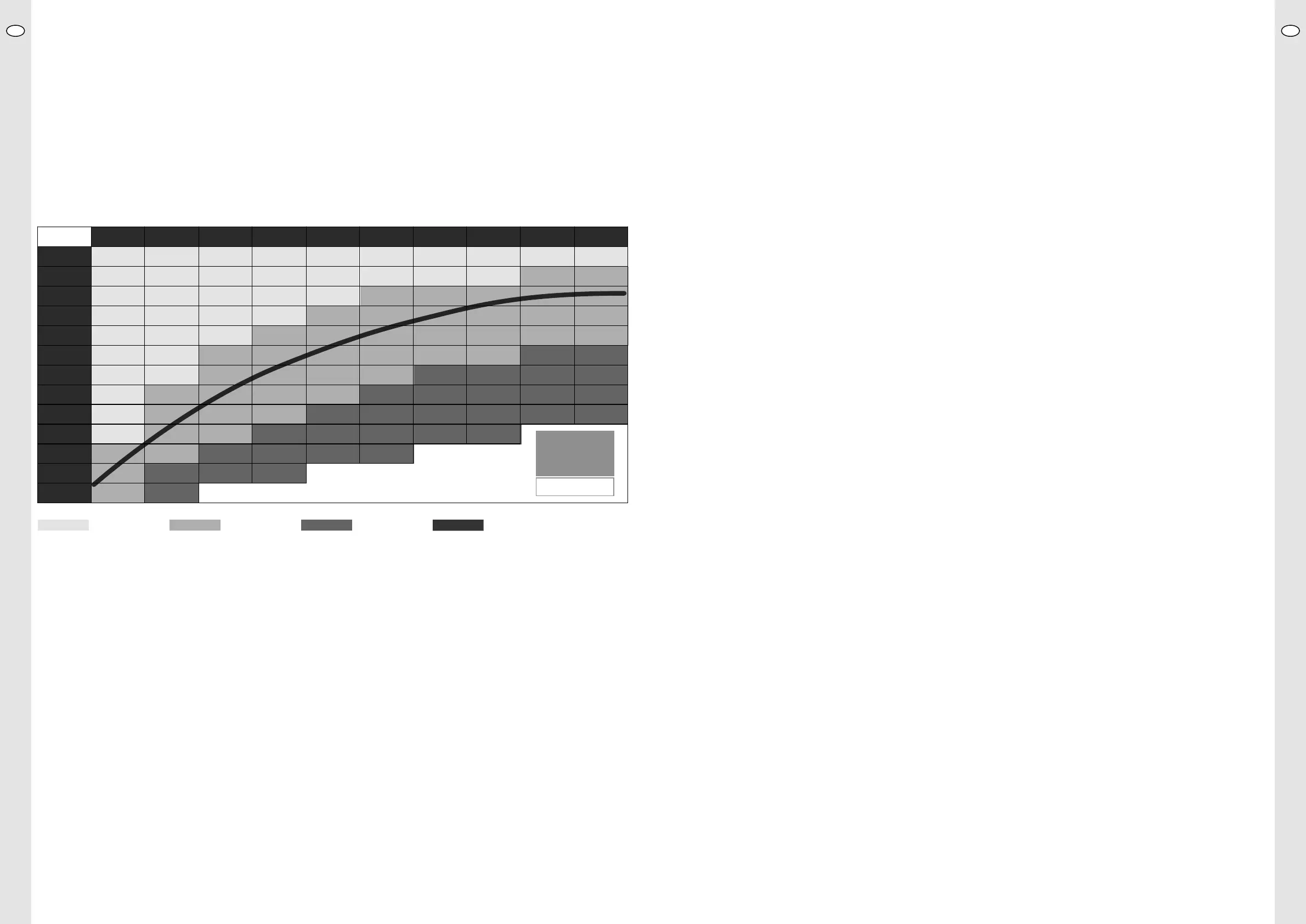
6. CO₂, uhličitanové tvrdost a hodnota pH
Tyto tři parametry hodnota pH, obsah CO₂ a uhličitanová tvrdost spolu neoddělitelně souvisejí a jsou ve vzájemné závislosti�
Kolik CO₂ je potřeba pro udržení určité hodnoty pH, závisí na uhličitanové tvrdosti v akváriu� Čím vyšší je uhličitanoví tvrdost, tím více CO₂ je zapotřebí�
Jsou-li hodnoty uhličitanové tvrdosti a pH známy, lze vypočítat obsah CO₂� Následující tabulka vám ušetří výpočet a zobrazuje hodnoty pH, které lze
nastavit jako požadované bez nebezpečí pro vaše ryby�
Nikdy nenastavujte požadované hodnoty pH svévolně� Stanovte nejprve hodnotu uhličitanové tvrdosti ve vašem akváriu, např pomocí
JBL PROAQUA
TEST KH
Obsah CO₂ v závislosti na hodnotě pH a uhličitanové tvrdosti
KH 2
1
2
2
3
4
5
6
8
10
12
15
24
38
pH 7,8
pH 7,6
pH 7,4
pH 7,3
pH 7,2
pH 7,1
pH 7
pH 6,9
pH 6,8
pH 6,7
pH 6,6
pH 6,4
pH 6,2
KH 10
5
8
12
15
19
24
30
38
48
60
75
KH 4
2
3
5
6
8
10
12
15
19
24
30
48
76
KH 12
6
9
14
18
23
29
36
45
57
72
90
KH 6
3
5
7
9
11
14
18
23
29
36
45
72
KH 14
7
11
17
21
27
33
42
53
67
84
KH 18
9
14
21
27
34
43
54
68
86
KH 8
4
6
10
12
15
19
24
30
38
48
60
96
KH 16
9
12
19
24
30
38
48
60
76
96
KH 20
10
15
24
30
38
48
60
76
95
Tabelle · Table · Tableau
CO
2
nedostatek CO₂ CO₂ správně nadbytek CO₂ křivka auto pH (viz kap. 6.1)
C0
2
(mg/l)
6.1 Správná hodnota CO₂ a správná hodnota pH
JBL doporučuje obsah CO₂ v akvarijní vodě mezi 15 a 30 mg/l� Toto rozmezí je vyznačeno v tabulce výše jako „CO₂ správně“� Jako ideální se jeví 20
– 25 mg/l� Tato hodnota je pro ryby bezpečná a zajišťuje současně krásný růst rostlin� Funkce „Auto-pH“ používá střední hodnotu 22,5 mg/l CO₂ jako
výchozí pro výpočet požadovaného pH�
Ve výjimečných případech (aquascaping apod�) může být třeba koncentrace CO₂ až 35 mg/l�
• Nejdříve vždy změřte UT v akváriu�
• Vyhledejte v rozmezí „CO₂ správně“ hodnotu pH odpovídající uhličitanové tvrdosti a požadovanému obsahu CO₂�
• Tuto hodnotu pH nastavte jako požadovanou na přístroji (viz kap� 5)�
Bezpodmínečně dbejte na to, aby byly voleny takové hodnoty pH, které jsou pro ryby bezpečné� Např� při vysoké UT nenastavujte pH pod 7,00� Pokud
chcete přesto nižší pH dosáhnout, musíte snížit UT vody�
Tip: Pokud zvolíte automatický režim přístroje (kap� 7�5), přístroj převezme automatické nastavování žádoucí hodnoty pH dle UT vody tak, aby to
neohrozilo ryby a zároveň podpořilo růst rostlin� Tato „auto-křivka“ pH je znázorněna v uvedené tabulce�
6.2 Nastavení množství CO₂
Množství CO₂ potřebné pro správnou hodnotu pH, které musí být dodáváno, závisí na různých faktorech, jako pohyb vody, spotřeba rostlin atd� a musí
se pro každé akvárium stanovit individuálně�
• Začněte s cca 10 bublinami za minutu v JBL PROFLORA CO₂ TAIFUN COUNT SAFE na 100 l akvarijní vody�
• Druhý den zkontrolujte, zda bylo dosaženo požadované hodnoty pH a zda systém přerušuje přivádění CO₂�
• Pokud ne, zvyšte přivádění CO₂ na 20 – 25 bublin� Pokud je to nutné, zvyšujte přívod plynu postupně po malých krocích, dokud není přivádění CO₂
automaticky 3-6krát denně pozastaven�
Řiďte se také návody použitého hnojicího zařízení na CO₂!
7. Jednotlivé body nabídky
Popis dostupnosti podle přehledu hodnot (kap� 4)�
7.1 Výběr jazyka
Dostupné přes:
Einstellungen > Sprachwahl > „OK“ > vybrat jazyk > „OK“. Opuštění nastavení: „Einstellungen“.
K dispozici je 9 jazyků: DE/EN-UK/FR/NL/IT/DK/ES/PT/RO�
7.2 Kalibrace
Dostupné přes:
Einstellungen > Kalibrierung > „OK“> Start Kalibrierung > „OK“.
Přístroj vás sám navádí krok za krokem k provedení tzv dvoustupňové kalibrace� Přístroj nejdříve kalibruje s kalibrační roztokem pH 7,00 a poté s pH
4,00, nikdy opačně! Postup je popsán v bodě 3�3 a podrobnosti v kapitole 8�1�
Po ukončené kalibraci bude resetován čas do následujícího připomenutí kalibrace v přehledu hodnot (kap� 4)� To odpovídá továrnímu nastavení�
Přístroj musí být zkalibrován, protože senzor pH stárne� Kalibrací se stárnutí, plíživá změna naměřených hodnot, u senzoru pH kompenzuje pomocí
softwaru�
7.3 Připomenutí kalibrace
Dostupné přes:
Einstellungen > Kalibriererinnerung > „OK“ > zvolit časový interval > „OK“.
Tento bod nabídky umožňuje zvolit různé časy připomenutí příští kalibrace� Na výběr jsou následující intervaly kalibrace:
30 dní
45 dní
60 dní
Periodu 60 dní nelze ovšem doporučit, protože senzor stárne a poskytuje potom nepřesné hodnoty� Čím častěji kalibrujete, tím jsou výsledky
přesnější�
7.4 Požadovaná hodnota pro pH
Dostupné přes:
Einstellungen > Sollwert pH > „OK“ > požadovanou hodnotu pH nastavit stlačením „plus“ a „minus“ > „OK“.
Nastavená hodnota požadovaného pH se objeví v přehledu hodnot (kap� 4)�
Nastavujte jen takové hodnoty pH, které jsou v kapitole 6 označeny jako optimální koncentrace CO₂�
Pro jistotu se pro nastavenou požadovanou hodnotu vypočítává i uhličitanová tvrdost, při které je požadovaná hodnota pro ryby bezpečná a přesto
jsou rostliny dostatečně zásobeny CO₂� Pokud přístroj vypočte UT nižší jak 1 °d, musíte si být jisti, že tuto hodnotu potřebujete� Až potom potvrďte
„OK“�
7.5 Auto pH
Dostupné přes:
Einstellungen > Auto pH > „OK“ > požadovanou hodnotu UT nastavit stlačením „plus“ a „minus“ > „OK“.
Zadáte UT naměřenou v akváriu a přístroj automaticky vypočte požadované pH, které odpovídá obsahu CO₂ cca 22,5 mg/l� Tato hodnota pH bude
automaticky uložena jako požadovaná, jakmile zadanou hodnotu UT potvrdíte „OK“� Takto dosáhnete bujný růst ryb při zachování zdraví ryb� Hodnoty,
které byly základem pro funkci Auto pH jsou uvedeny v tabulce v kap� 6 jako křivka Auto pH�
Auto pH je z výroby nastaveno na 8 °UT (německá stupnice)�
Tip: Pokud nevíte, jaké pH je ve vašem případě optimální, pracujte vždy v režimu „auto-pH“�
Upozornění: Při změněn požadované hodnoty pH na hodnoty mimo křivku Auto pH a při nastavení ventilu „man“ je Auto pH automaticky deaktivová
-
no
7.6 Hystereze
Dostupné přes:
Einstellungen > Hysterese > „OK“ > požadovanou hodnotu nastavit stlačením „plus“ a „minus“ > „OK“.
Hystereze jsou spínací body� Pro zabránění nadměrně častého spínání magnetického ventilu se zadá horní a dolní mez, od které se může naměřená
hodnota pH lišit od požadované hodnoty pH, než se magnetický ventil zapne� Šetří se tím magnetický ventil� Příklad regulace najdete v kapitole 5�1�
Je možné nastavit hodnoty hystereze od 0,1 do 0,5 pH� Tovární nastavení: 0,1 pH�
CZCZ
116 117

Table of Contents

Related product manuals