EasyManua.ls Logo

JBL PROFLORA CO2 CONTROL - Page 65

JBL PROFLORA CO2 CONTROL
Print Icon
To Next Page IconTo Next Page
To Next Page IconTo Next Page
To Previous Page IconTo Previous Page
To Previous Page IconTo Previous Page
Loading...
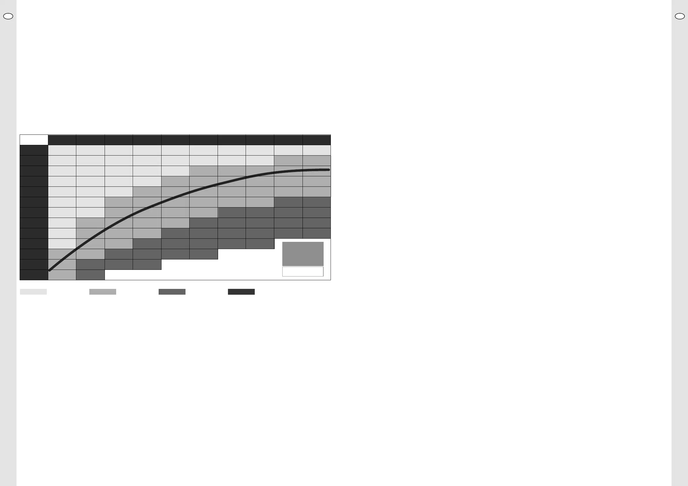
6. CO₂, карбонатная жесткость (КН) и значение рН
Данные три параметра – содержание CO₂, карбонатная жесткость и значение рН – неразрывно связаны друг с другом, т к� между ними
существует взаимозависимость�
Сколько CO₂ теперь потребуется, чтобы получить определенное значение рН, зависит от КН в аквариуме� Чем выше КН, тем больше
требуется CO₂� Если значение КН и рН известны, можно рассчитать содержание CO₂� Пользуясь следующей таблицей, Вы сможете избежать
длинных вычислений� В таблице приведены также значения рН, которые Вы можете устанавливать в качестве заданных значений без
какого-либо риска для Ваших рыбок�
Никогда не устанавливайте произвольных заданных значений рН� Поэтому сначала
всегла определяйте КН в своем аквариуме, напр�, с помощью теста JBL PROAQUATEST KH.
Содержание CO₂ в зависимости от значения pH и KH
KH 2
1
2
2
3
4
5
6
8
10
12
15
24
38
pH 7,8
pH 7,6
pH 7,4
pH 7,3
pH 7,2
pH 7,1
pH 7
pH 6,9
pH 6,8
pH 6,7
pH 6,6
pH 6,4
pH 6,2
KH 10
5
8
12
15
19
24
30
38
48
60
75
KH 4
2
3
5
6
8
10
12
15
19
24
30
48
76
KH 12
6
9
14
18
23
29
36
45
57
72
90
KH 6
3
5
7
9
11
14
18
23
29
36
45
72
KH 14
7
11
17
21
27
33
42
53
67
84
KH 18
9
14
21
27
34
43
54
68
86
KH 8
4
6
10
12
15
19
24
30
38
48
60
96
KH 16
9
12
19
24
30
38
48
60
76
96
KH 20
10
15
24
30
38
48
60
76
95
Tabelle · Table · Tableau
CO
2
Излишек СО₂ СО₂ в норме Избыток СО₂ Кривая auto рН (см. гл. 6.1)
C0
2
(mg/l)
6.1 Нормальное количество CO₂ и нормальное значение pH
Компания JBL рекомендует содержание CO₂ в аквариумной воде в пределах от 15 до 30 мг/л� Этот диапазон обозначен в вышестоящей
таблице словами «CO₂ в норме»� Идеальным показало себя значение 20 – 25 мг/л� Это значение является безопасным для рыбок и
одновременно обеспечивает пышный рост растений� Функция «Auto-pH» использует среднее значение - а именно 22,5 мл/л CO₂ - в качестве
основы для вычисления подходящего заданного значения рН�
В особых случаях, напр�, для акваскейпинга, может оказаться необходимой концентрация CO2 на уровне до 35 мг/л�
• Во всех случаях сначала следует измерить KH в воде Вашего аквариума�
• Выберите в диапазоне «CO₂ в норме» значение рН, соответствующее карбонатной жесткости (KH) и нужному содержанию CO₂�
• Установите это значение pH на приборе в качестве заданного значения (см� гл� 5)�
Обязательно обратите внимание на выбор только таких значений рН, которые являются безопасными для рыбок� Это означает, напр�,
что при высокой КН не следует устанавливать значений рН ниже 7,00� Если Вы хотите установить значения рН ниже 7,00, необходимо в
большинстве случаев соответственно понизить КН�
Рекомендация: при включении функции «auto pH» (см� гл� 7�5) прибор автоматически устанавливает заданное значение рН, подходящее
к КН в Вашем аквариуме и обеспечивающее пышный рост растений, не создавая опасности для рыбок� Соответствующие значения Вы
найдете в виде кривой «auto pH» в вышестоящей таблице�
6.2 Регулировка количества CO₂
Количество CO₂, которое необходимо для достижения желаемого значения рН и которое следует добавлять, зависит от различных
факторов, таких как движение воды, потребление растениями и т д� Это количество следует определять для каждого аквариума отдельно�
• Начинайте примерно с 10 пузырьков в минуту в счетчике пузырьков JBL PROFLORA CO₂ TAIFUN COUNT SAFE на 100 л аквариумной
воды�
• Через день проверьте, установилось ли в аквариуме заданное значение рН, и отключает ли прибор периодически подачу CO2�
• Если нет, то увеличьте подачу CO₂ примерно до 20 – 25 пузырьков� При необходимости продолжайте понемногу увеличивать подачу, пока
прибор не начнет отключать подачу CO₂ примерно от 3 до 6 раз в день�
Соблюдайте также инструкции по эксплуатации применяемой установки удобрения CO₂!
7. Отдельные пункты меню
Описание доступа следует исходя из обзорного экрана значений (гл� 4)�
7.1 Выбор языка
Доступ через:
Настройки > выбор языка (нем. Sprachwahl, англ. language) > подтвердить нажатием на OK > выбрать язык по желанию >
подтвердить нажатием на OK. Для выхода нажать на «Настройки».
У Вас есть на выбор 9 языков для управления в режиме меню, высвечиваемого на дисплее:
DE/EN-UK/FR/NL/IT/DK/ES/PT/RO�
7.2 Калибровка
Доступ через:
Настройки > выбрать калибровку (нем. Kalibrierung, англ. calibration) > подтвердить нажатием на OK > Начать калибровку (нем.
Start Kalibrierung, англ. start calibration > подтвердить нажатием на OK.
Прибор проводит Вас шаг за шагом через т наз� двухточечную калибровку При этом калибровка прибора осуществляется сначала с
помощью буферного раствора рН 7,00, а затем – буферного раствора рН 4,00, но ни в коем случае не наоборот! Проведение калибровки –
см� гл� 3�3, другие подробности указаны в гл� 8�1�
После проведения калибровки на обзорном экране значений (гл� 4) происходит сброс времени до следующего напоминания о калибровке:
30 дней/720 часов, что соответствует заводской настройке�
Прибор следует калибрировать, поскольку датчик рН стареет Благодаря процессу калибровки программное обеспечение компенсирует
старение, скрытое изменение измеряемых значений и датчика рН�
7.3 Напоминание о калибровке
Доступ через:
Настройки > выбрать напоминание о калибровке (нем. Kalibriererinnerung, англ. calibration reminder) > подтвердить нажатием на
OK > выбрать временной интервал > подтвердить нажатием на OK.
Этот пункт меню предоставляет Вам возможность выбрать различные временные интервалы до следующего напоминания о калибровке�
Имеются на выбор следующие временные интервалы калибровки:
30 дней
45 дней
60 дней
Настоятельно не рекомендуется устанавливать интервал длительностью 60 дней, поскольку каждый датчик рН непрерывно стареет, а
измеряемые значения сдвигаются� Таким образом, чем чаще Вы производите калибровку, тем надежнее измеренные значения
7.4 Заданное значение pH
Доступ через:
Настройки > выбрать заданное значение pH (нем. Sollwert pH einstellen, англ. pH set point) > подтвердить нажатием на OK >
выбрать нужное значение рН нажатием на «плюс» или «минус» > подтвердить нажатием на OK.
Заданное значение рН появляется на обзорном экране значений (гл� 4)
Устанавливайте только такие заданные значения рН, которые обозначены в таблице главы 6 как «CO₂ в норме»�
Кроме того, для особой надежности к установленному заданному значению одновременно рассчитывается карбонатная жесткость, при
которой данное заданное значение является безопасным для рыб и тем не менее гарантирует достаточно CO₂ для растений� Если прибор
рассчитал значение КН более чем на 1 градус (°dKH) ниже КН в Вашем аквариуме, то обязательно убедитесь в том, что действительно
желаете установить данное значение, прежде чем подтвердить его нажатием на ОК�
7.5 Режим автоматического регулирования значения рН («Auto pH»)
Доступ через:
Настройки > выбрать Auto pH > подтвердить нажатием на OK > выбрать нужное значение KН нажатием на «плюс» или «минус» >
подтвердить нажатием на OK.
Введите замеренную в Вашем аквариуме КН, и прибор автоматически рассчитает подходящее заданное значение рН, обеспечивающее
концентрацию CO₂ на уровне примерно 22,5 мг/л� Это значение рН автоматически сохранится как заданное значение рН, если Вы после
RURU
128 129

Table of Contents

Related product manuals