EasyManua.ls Logo

JBL PROFLORA CO2 CONTROL - Page 77

JBL PROFLORA CO2 CONTROL
Print Icon
To Next Page IconTo Next Page
To Next Page IconTo Next Page
To Previous Page IconTo Previous Page
To Previous Page IconTo Previous Page
Loading...
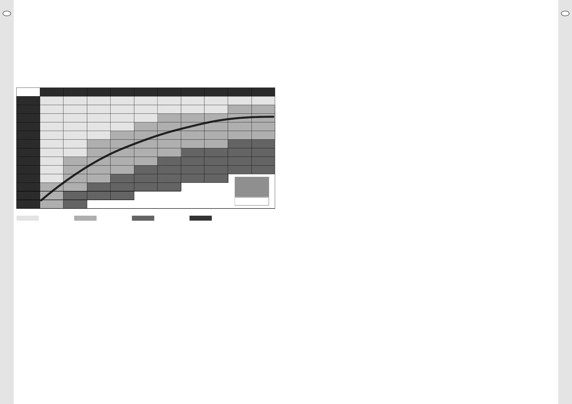
6. CO₂, Karbonat sertliği (KS) ve pH değeri
CO₂, karbonat sertliği ve pH değerinden oluşan üç parametre karşılıklı bir bağımlılık söz konusu olduğundan birbirlerine ayrılmaz şekilde bağlıdır
Belli bir pH değeri elde etmek için ne kadar CO₂ kullanılacağı akvaryumdaki KS değerine bağlıdır� KS ne kadar yüksekse, o kadar fazla CO₂‘ye ihtiy
duyulur KS ve pH değerleri biliniyorsa, CO₂ miktarı hesaplanabilir Aşağıdaki tablo hesap yapmaya gerek olmadan balıklarınız için tehlikesizce nomi-
nal değer olarak belirleyeceğiniz pH değerlerini göstermektedir
pH nominal değerlerini asla rastgele ayarlamayın� Bunun için akvaryumunuzdaki karbonat sertliğini mutlaka, örn� JBL PROAQUATEST KH ile ölçün�
pH değerine ve KS değerine bağlı CO₂ miktarı
KH 2
1
2
2
3
4
5
6
8
10
12
15
24
38
pH 7,8
pH 7,6
pH 7,4
pH 7,3
pH 7,2
pH 7,1
pH 7
pH 6,9
pH 6,8
pH 6,7
pH 6,6
pH 6,4
pH 6,2
KH 10
5
8
12
15
19
24
30
38
48
60
75
KH 4
2
3
5
6
8
10
12
15
19
24
30
48
76
KH 12
6
9
14
18
23
29
36
45
57
72
90
KH 6
3
5
7
9
11
14
18
23
29
36
45
72
KH 14
7
11
17
21
27
33
42
53
67
84
KH 18
9
14
21
27
34
43
54
68
86
KH 8
4
6
10
12
15
19
24
30
38
48
60
96
KH 16
9
12
19
24
30
38
48
60
76
96
KH 20
10
15
24
30
38
48
60
76
95
Tabelle · Table · Tableau
CO
2
CO₂ miktarı çok az CO₂ miktarı doğru CO₂ miktarı çok
fazla
oto pH eğrisi (bkz. Böl. 6.1)
C0
2
(mg/l)
6.1 Doğru CO2 miktarı ve doğru pH değeri
JBL size akvaryum suyu için 15 ve 30 mg/l arasında CO₂ miktarı önerir Bu alan yukarıdaki tabloda „CO₂ miktarı doğru“ olarak tanımlanmıştır İdeal
olanı 20 – 25 mg/l‘dir Bu değer balıklar için tehlikesizdir ve aynı zamanda bitkilerin olağanüstü gelişmesini sağlar Otomatik pH fonksiyonu uygun
nominal pH değerinin hesaplanmasına esas olarak ortalama değeri, yani 22,5 mg/l CO₂ değerini kullanır
Örneğin akvaryum peyzajı gibi özel durumlarda 35 mg/l‘ye varan CO₂ miktarlarına gerek duyulabilir
• Önce her zaman akvaryumunuzun suyunun KS değerini ölçün�
• „Doğru CO₂ miktarı“ alanında KS değerine ve arzu edilen CO₂ miktarına uygun düşen pH değerini arayın�
• Bu pH değerini cihazda nominal değer olarak ayarlayın� (bkz� Böl� 5)�
Yalnızca balıklar için tehlike oluşturmayan pH değerlerini ayarlamaya dikkat edin� Yani, KS yüksekse, 7,00‘ın altında pH değerleri belirlemeyin� 7,00‘ın
altında pH değerleri belirlemek istiyorsanız KS değerini de o ölçüde düşürmelisiniz�
Öneri: Otomatik pH fonksiyonunu etkinleştirdiğinizde (bkz� Böl� 7�5) cihaz otomatik olarak balıkları tehlikeye atmadan akvaryumunuzun KS değerine
uyan ve görkemli bitki gelişimini garanti eden bir nominal pH değeri ayarlamayı üstlenir İlgili değerler yukarıdaki tabloda otomatik pH eğrisi olarak
gösterilmiştir
6.2 CO₂ miktarının ayarlanması
Arzu edilen pH değeri için gerekli olan CO₂ miktarı suyun hareketi, bitkilerin tüketimi vb� farklı faktörlere bağlıdır ve her akvaryum için özel olarak
belirlenmelidir
• JBL PROFLORA CO₂ TAIFUN COUNT SAFE’de 100 l akvaryum suyu başına dakikada yaklaşık 10 kabarcıkla başlayın�
• Bir gün sonra akvaryumda ayarlanmış olan nominal pH değerine ulaşılıp ulaşılmadığını ve cihazın CO₂ takviyesini ara ara kapatıp kapatmadığını
kontrol edin�
• Böyle olmuyorsa, CO₂ beslemesini yaklaşık 20-25 kabarcığa yükseltin� Gerekirse takviyeyi cihaz CO₂ takviyesini günde yaklaşık 3-6 kez kesecek
duruma gelene kadar küçük adımlarla yükseltin�
Kullanmakta olduğunuz CO₂ gübreleme cihazının kullanma talimatına da uyun!
7. Menü seçenekleri
Değer tablosundan yola çıkarak kapasitenin tanımı (Böl� 4)
7.1 Dil seçimi
Şu şekilde erişebilirsiniz:
Ayarlar > Dil seçimi > OK ile onayla >İstediğin dili seç > OK ile onayla. „Ayarlar“ ‚a girerek uygulamadan çıkın.
Ekrandaki menü navigasyonu için 9 dil seçimi yapılabilir: DE/EN-UK/FR/NL/IT/DK/ES/PT/RO�
7.2 Kalibrasyon
Şu şekilde erişebilirsiniz:
Ayarlar > Kalibrasyonu seç > OK ile onayla > Kalibrasyonu başlat > OK ile onayla.
Cihaz sizi iki noktalı kalibrasyon olarak adlandırılan işlem sırasında adım adım yönlendirecektir Cihaz önce 7,00 tampon çözelti, sonra 4,00 tampon
çözelti ile kalibre edilir, tersi asla yapılmamalıdır! Kalibrasyonun nasıl yapılacağı konusunda Bölüm 3�3‘e, daha fazla ayrıntı için Bölüm 8�1‘e bakınız�
Kalibrasyonun başarıyla tamamlanmasından sonra değer tablosunda (Böl� 4) bir sonraki kalibrasyonu hatırlatma süresi yeniden 30 gün/720 saate
ayarlanır� Bu fabrika çıkışı ayardır
pH sensörü yaşlandığından cihaz kalibre edilmelidir� Kalibrasyon işlemi pH sensörünün yaşlanmasını, ölçülen değerlerdeki aşamalı değişiklikleri
yazılım kullanarak telafi eder
7.3 Kalibrasyon hatırlatma
Şu şekilde erişebilirsiniz:
Ayarlar > Kalibrasyon hatırlatmayı seç > OK ile onayla > Zaman aralığını seç > OK ile onayla.
Bu menü seçeneğinde bir sonraki kalibrasyon hatırlatması için farklı zamanlar arasında seçim yapma olanağı bulursunuz� Şu kalibrasyon aralıkları
mevcuttur:
30 gün
45 gün
60 gün
Ancak bütün pH sensörleri sürekli yaşlandığından ve ölçülen değerler değişime uğradığından, 60 gün seçeneğini hiç bir şekilde önermiyoruz� Kalibra
-
syonu ne kadar sık yaparsanız, ölçümler o kadar güvenilir olur
7.4 Nominal pH değeri
Şu şekilde erişebilirsiniz:
Ayarlar > Nominal pH değerini seç > OK ile onayla> „artı“ ve „eksi“ seçeneklerini kullanarak istenen pH değerini seç > OK ile onayla.
Ayarlanan nominal pH değeri değer tablosunda görüntülenir (Böl� 4)
Lütfen yalnızca 6� bölümdeki tabloda CO2 miktarı doğru olarak belirtilmiş nominal pH değerlerini ayarlamaya dikkat edin�
Sizin için ek bir güvenlik olarak, ayarlanmış olan nominal değerin yanı sıra balıklar için güvenli olan ve yine de bitkiler için yeterli CO2‘yi garanti eden
karbonat sertliği de hesaplanır Cihazın akvaryumunuzun KS değerinin 1 derece (0dKH) altında bir KS değeri hesaplaması durumunda, OK ile onayla
-
madan önce bunun istediğiniz değer olduğundan kesinlikle emin olmalısınız
7.5 Auto pH
Şu şekilde erişebilirsiniz:
Ayarlar > Auto pH değerini seç > OK ile onayla> „artı“ ve „eksi“ seçeneklerini kullanarak istenen KS değerini seç > OK ile onayla.
Siz akvaryumunuzda ölçülen KS değerini girdikten sonra cihaz yaklaşık 22,5 mg/l CO₂ içeriğini sağlayacak olan uygun nominal pH değerini otomatik
olarak hesaplar� Siz KS değerini girdikten sonra OK ile onayladığınızda, bu pH değeri otomatik olarak nominal pH değeri olarak kaydedilir Böylelikle
mükemmel bir bitki gelişimi elde edersiniz ve balıklarınız için asla bir tehlike söz konusu olmaz� Auto pH fonksiyonunun temelini oluşturan değerler
Böl� 6‘daki tabloda Auto pH eğrisi olarak görülebilir
Auto pH fabrika çıkışında 8 dKS’ye (Alman sertlik derecesi) ayarlanmıştır
Öneri: Hangi nominal pH değerinin doğru olduğundan emin olamıyorsanız her zaman Auto pH fonksiyonunu kullanın�
Not: Nominal pH değerinin değiştirilerek Auto pH eğrisinin dışında değerlere ayarlanması ve valfin „man“ seçeneğine getirilmesi durumunda Auto pH
otomatik olarak devreden çıkar
7.6 Histerez
Şu şekilde erişebilirsiniz:
Ayarlar > Histerezi seç > OK ile onayla> „artı“ ve „eksi“ seçeneklerini kullanarak istenen değeri seç > OK ile onayla.
Histerez anahtarlama noktalarını tanımlamak için kullanılır Solenoid valfin gereksiz sıklıkta devreye alınmasını önlemek için ölçülen pH değerinin so
-
lenoid valf devreye girene kadar nominal pH değerinden sapabileceği bir üst ve alt sınır belirlenir
Bu solenoid valfi korur Böl� 5�1‘de kontrol moduna
bir örnek bulabilirsiniz� 0,1 ilâ 0,5 pH birimi arası değerler seçilebilir Fabrika çıkış ayarı: 0,1 pH�
TR TR
152 153

Table of Contents

Related product manuals