EasyManua.ls Logo

JVC KW-R950BTS

JVC KW-R950BTS
140 pages
To Next Page IconTo Next Page
To Next Page IconTo Next Page
To Previous Page IconTo Previous Page
To Previous Page IconTo Previous Page
Loading...
ENGLISH
19
Data Size: B6L (182 mm x 128 mm)
Book Size: B6L (182 mm x 128 mm)
Bluetooth®
The following operations may differ or be unavailable depending on the
connected phone.
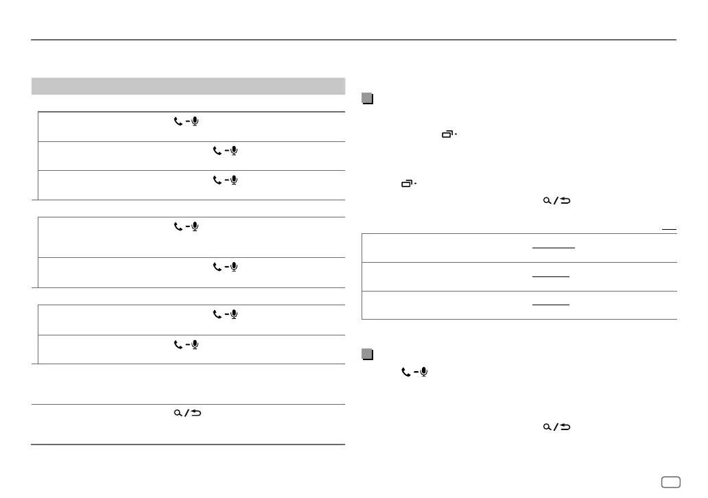
To On the faceplate On the remote control
First incoming call...
Answer a call
Press
or the
volume knob.
Press J / K / H / I.
Reject a call
Press and hold
or the volume knob.
Press and hold
J / K / H / I.
End a call
Press and hold
or the volume knob.
Press and hold
J / K / H / I.
While talking on the first incoming call...
Answer another
incoming call and hold
the current call
Press
or the
volume knob.
( Not available )
Reject another
incoming call
Press and hold
or the volume knob.
( Not available )
While having two active calls...
End current call and
activate held call
Press and hold
or the volume knob.
Press and hold
J / K / H / I.
Swap between the
current call and held call
Press
.
( Not available )
Adjust the phone
volume*1
[00]
to
[35]
(Default:
[15]
)
Turn the volume knob
during a call.
Press VOL +*2 or
VOL – during a call.
Switch between hands-
free and private talk
modes*3
Press
during
a call. ( Not available )
*1 This adjustment will not affect the volume of the other sources.
*2 Press and hold VOL + to continuously increase the volume to 15.
*3 Operations may vary according to the connected Bluetooth device.
Improve the voice quality
While talking on the phone...
1 Press and hold MENU.
2 Turn the volume knob to select an item (see the following table), then
press the knob.
3 Repeat step 2 until the desired item is selected or activated.
4 Press MENU to exit.
To return to the previous setting item, press
.
Default: [XX]
[MIC GAIN] [LEVEL –10] to [LEVEL +10] ([LEVEL –04]): The sensitivity of the
microphone increases as the number increases.
[NR LEVEL]
[LEVEL –05] to [LEVEL +05] ([LEVEL 00]): Adjust the noise reduction level
until the least noise is being heard during a phone conversation.
[ECHO CANCEL]
[LEVEL –05] to [LEVEL +05] ([LEVEL 00]): Adjust the echo cancellation
delay time until the least echo is being heard during a phone conversation.
Call quality may depend on mobile phone.
Make the settings for receiving a call
1
Press to enter Bluetooth mode.
2 Turn the volume knob to select an item (page20), then press the
knob.
3 Repeat step 2 until the desired item is selected or activated.
To return to the previous setting item, press
.
KW_R950BTS_K_B5A-3883-00_EN_1st Draft.indd 19KW_R950BTS_K_B5A-3883-00_EN_1st Draft.indd 19 9/7/2021 11:39:36 PM9/7/2021 11:39:36 PM

Table of Contents

Related product manuals