EasyManua.ls Logo

Kenmore Sears gas range - Avoid Service Checklist; Troubleshooting: Range Not Level; Troubleshooting: Appliance Accessibility; Troubleshooting: Surface Burners Not Lighting

Kenmore Sears gas range
16 pages
Print Icon
To Next Page IconTo Next Page
To Next Page IconTo Next Page
To Previous Page IconTo Previous Page
To Previous Page IconTo Previous Page
Loading...
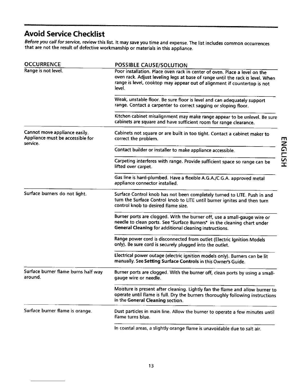
Avoid Service Checklist
Before you call for service, review this list. It may saveyou time and expense. The list includescommon occurrences
that are not the result of defective workmanship or materials in this appliance.
OCCURRENCE
Range is not level.
POSSIBLE CAUSE/SOLUTION
Poor installation. Place oven rack in center of oven. Place a level on the
oven rack. Adjust leveling legs at base of range until the rack is level. When
range is level, cooktop may appear out of alignment if countertop is not
level.
Weak, unstable floor. Be surefloor is level and can adequately support
range. Contact a carpenter to correct sagging or sloping floor.
Kitchen cabinet misalignment may make range appear to be unlevel. Be sure
cabinets are square and have sufficient room for range clearance.
Cannot move appliance easily.
Appliance must be accessible for
service.
Cabinets not square or are built in too tight. Contact a cabinet maker to
correct the problem.
Contact builder or installer to make appliance accessible.
Carpeting interferes with range. Provide sufficient space so range can be
lifted over carpet.
Gas line ishard-plumbed. Have a flexible A.G.A./C.G.A. approved metal
appliance connector installed.
Surface burners do not light.
Surface Control knob has not been completely turned to LITE.Push in and
turn the Surface Control knob to LITEuntil burner ignites and then turn
control knob to desired flame size.
Burner ports are clogged. With the burner off, use a small-gauge wire or
needle to clean ports. See _Surface Burners" in the cleaning chart under
General Cleaning for additional cleaning instructions.
Range power cord is disconnected from outlet (Electric Ignition Models
only}. Be sure cord is securely plugged into the outlet.
Electrical power outage (electric ignition models only). Burners can be lit
manually. SeeSetting Surface Controls in this Owner's Guide.
Surface burner flame burns half way
around.
Burner ports are clogged. With the burner off, clean ports by using a small-
gauge wire or needle.
Moisture is present after cleaning. Lightly fan the flame and allow burner to
operate until flame is full. Dry the burners thoroughly following instructions
in the General Cleaning section.
Surface burner flame is orange.
Dust particles in main line. Allow the burner to operate a few minutes until
flame turns blue.
In coastal areas, a slightly orange flame is unavoidable due to salt air.
rT1
Z
r--
m
13

Related product manuals