EasyManua.ls Logo

Lennox FCA 60 - Page 52

Lennox FCA 60
142 pages
Print Icon
To Next Page IconTo Next Page
To Next Page IconTo Next Page
To Previous Page IconTo Previous Page
To Previous Page IconTo Previous Page
Loading...
Page 50 - IOM / ROOF-TOP FLEXY™ Series
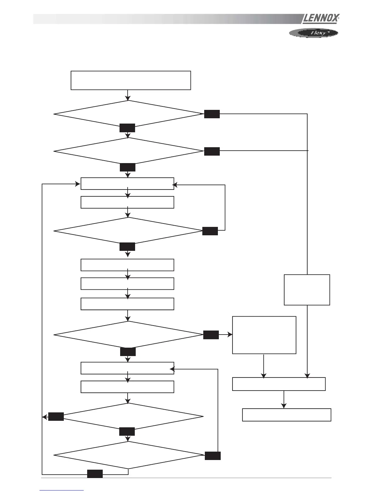
HEATING : gas burner
GAS BURNER FIRE-UP SEQUENCE
Gaz low pressure switch?
Operation from control
Thermostat GAS = Closed
Supply thermostat timit ?
(Auto reset)
Gaz ignition control block signal
Extraction Fan ON
Air pressure switch ON
Backfire thermostat ON ?
Pre-ventilation 30 to 45 seconds
Fire-up Electrode 4s
Gas valve open
Ionisation 1 second after
the end of sparking ?
Gas valve remains open
Normal operation
Air press switch ON
or Backfire thermostat ?
Signal from ionisation
probe still ON?
Gas control
Valve closes
BURNER
STOPS
Gas control
Valve closes
BURNER STOPS
Fault on Gas
control block
6 minutes delay
FAULT ON CLIMATIC
YES
NO
NO
YES
YES
NO
YES
NO
NO
YES
NO
YES