EasyManua.ls Logo

Lennox LCT240H - Page 34

Lennox LCT240H
86 pages
To Next Page IconTo Next Page
To Next Page IconTo Next Page
To Previous Page IconTo Previous Page
To Previous Page IconTo Previous Page
Loading...
Page 34
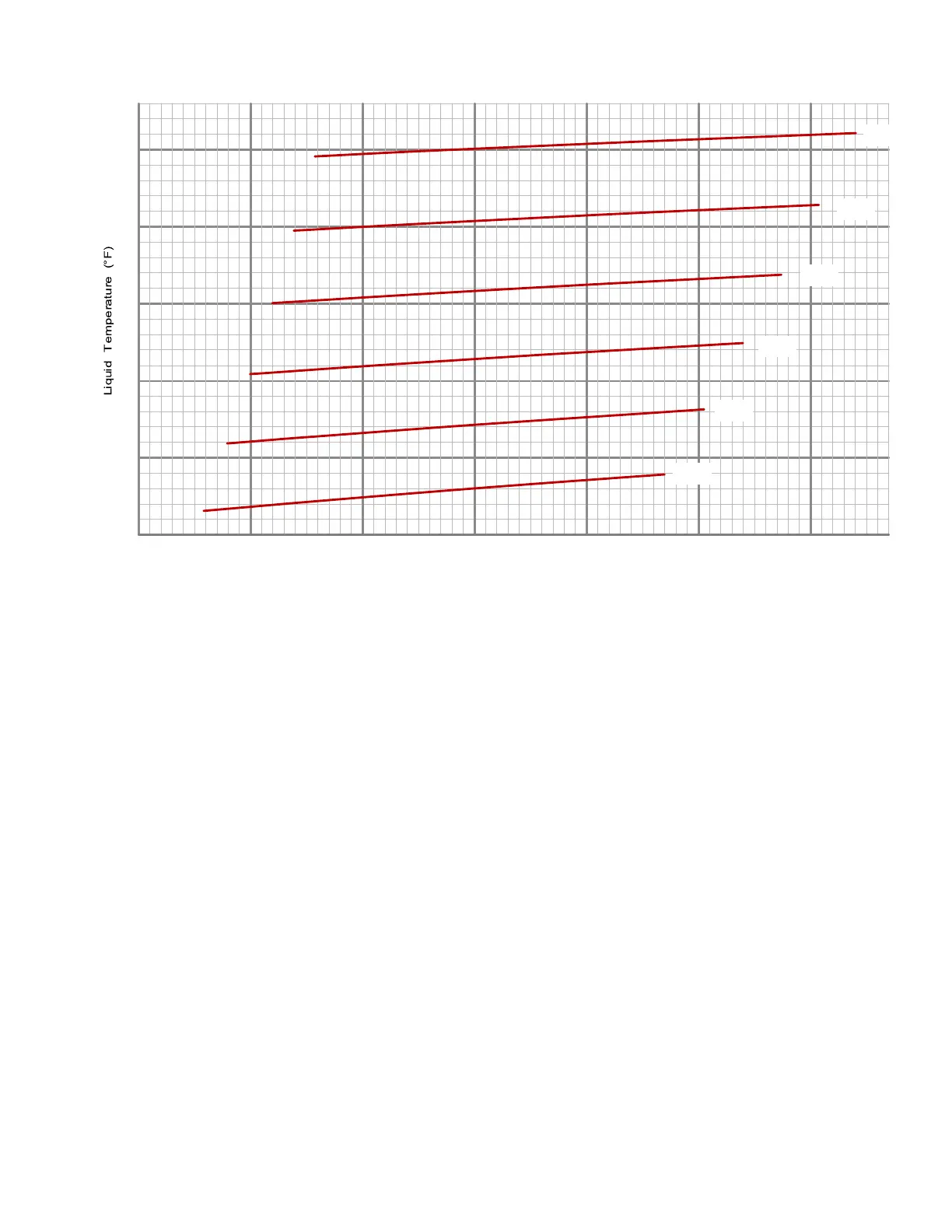
LGT/LCT156, 180, 210, 240, 300
210 CHARGING CURVE CIRCUIT 4 - NO REHEAT - ALL-ALUMINUM COIL - 581090-01
Suction Pressure (psig)
Outdoor Temperature (°F)
105°
95°
115°
85°
75°
65°
70
80
90
100
110
120
110 120 130 140 150 160100

Related product manuals