EasyManua.ls Logo

Lennox LCT240H - Page 37

Lennox LCT240H
86 pages
To Next Page IconTo Next Page
To Next Page IconTo Next Page
To Previous Page IconTo Previous Page
To Previous Page IconTo Previous Page
Loading...
Page 37
508288-01 9/2022
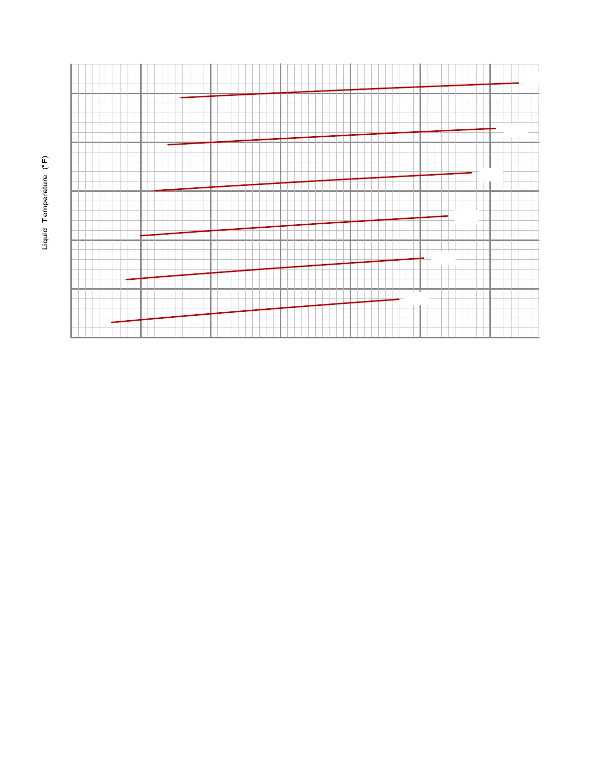
210 CHARGING CURVE CIRCUIT 4 - REHEAT - ALL-ALUMINUM COIL - 581092-01
Suction Pressure (psig)
70
80
90
100
110
120
Outdoor Temperature (°F)
105°
95°
115°
85°
75°
65°
60
130
110 120 130 140 150 160100

Related product manuals