EasyManua.ls Logo

LI-COR LI-840A - H2 O Measurement Equations

LI-COR LI-840A
138 pages
Print Icon
To Next Page IconTo Next Page
To Next Page IconTo Next Page
To Previous Page IconTo Previous Page
To Previous Page IconTo Previous Page
Loading...
H
2
O Equations
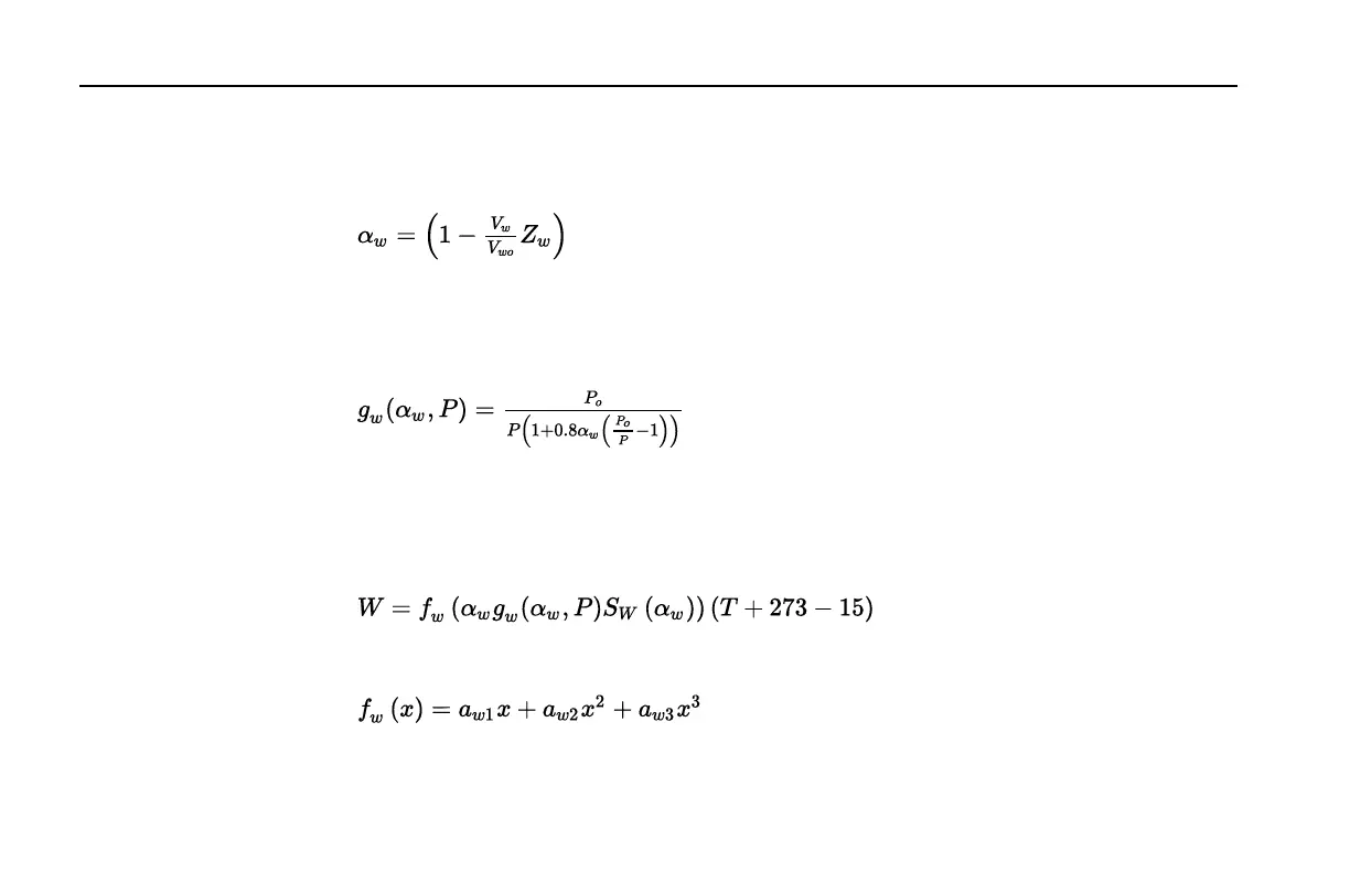
Absorptance α
w
for water vapor is computed from
B-4
where V
w
and V
wo
are the sample and reference raw detector readings and Z
w
is the zero para-
meter. The pressure correction for water vapor is an empirical function g
w
() of absorptance and
pressure P:
B-5
The value of P
o
is 99 kPa. When the pressure correction is not enabled, g
w
() is simply 1.0. Values
for g
w
() can be viewed on the diagnostics window (see Operation on page3-1).
Water vapor concentration W (mmol mol
-1
) is computed from
B-6
where f
w
(x) is a third order polynomial whose coefficients are given on the calibration sheet.
B-7
Appendix B
Appendix B. Equation SummaryB-2

Related product manuals