EasyManua.ls Logo

LI-COR LI-840A - CO2 Measurement Equations

LI-COR LI-840A
138 pages
Print Icon
To Next Page IconTo Next Page
To Next Page IconTo Next Page
To Previous Page IconTo Previous Page
To Previous Page IconTo Previous Page
Loading...
CO
2
Equations
The measurement of CO
2
is a bit more complicated than for H
2
O because of the influence of
water vapor. There is a slight direct cross sensitivity in the CO
2
signal to H
2
O. This is measured
at the factory and accounted for in the computation of absorptance (equation B-8). There is also
a band broadening effect that is accounted for in the computation of concentration (equation B-
12).
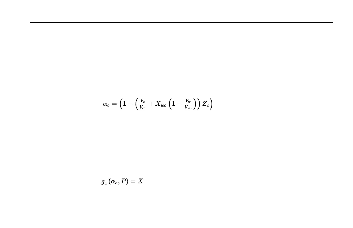
CO
2
absorptance α
c
is computed from
B-8
where V
c
and V
co
are the raw detector signals for sample and reference, Z
c
is the CO
2
zero para-
meter, and X
wc
is a cross sensitivity parameter for the effect of water vapor on CO
2
. Its value is
reported on the calibration sheet as XS=”.
The empirical pressure correction function g
c
() depends on CO
2
absorptance and pressure:
When P = P
o
, g
c
() = 1.
When P < P
o
Appendix B
Appendix B. Equation Summary B-3

Related product manuals