EasyManua.ls Logo

LI-COR LI-840A - Page 84

LI-COR LI-840A
138 pages
Print Icon
To Next Page IconTo Next Page
To Next Page IconTo Next Page
To Previous Page IconTo Previous Page
To Previous Page IconTo Previous Page
Loading...
B-9
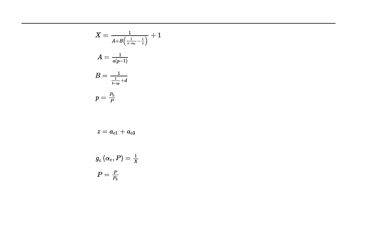
where a = 1.10158, b = -6.1217 * 10
-3
, c = -0.266278, d = 3.69895, and z is the asymptotic value of
absorptance, obtained from the calibration coefficients (equation B-13).
B-10
When P > P
o
B-11
where X, A, and B are computed as in equation B-9. The variable g
c
() is viewable on the dia-
gnostics window (see Operation on page3-1).
CO
2
concentration C (µmol mol
-1
) is computed from
Appendix B
Appendix B. Equation SummaryB-4

Related product manuals