EasyManua.ls Logo

LI-COR LI-840A - Page 85

LI-COR LI-840A
138 pages
Print Icon
To Next Page IconTo Next Page
To Next Page IconTo Next Page
To Previous Page IconTo Previous Page
To Previous Page IconTo Previous Page
Loading...
B-12
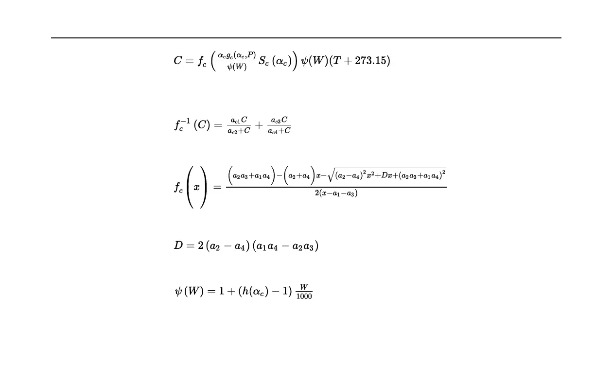
where f
c
(x) is a function whose inverse is a double rectangular hyperbola, and whose coefficients
(a1a4) are given on the calibration sheet.
B-13
Solving equation B-13 for C yields the calibration function
B-14
Where
B-15
ψ (W) accounts for band broadening by water vapor, and is viewable on the Diagnostic window.
B-16
Appendix B
Appendix B. Equation Summary B-5

Related product manuals