EasyManua.ls Logo

LI-COR LI-840A - Page 90

LI-COR LI-840A
138 pages
Print Icon
To Next Page IconTo Next Page
To Next Page IconTo Next Page
To Previous Page IconTo Previous Page
To Previous Page IconTo Previous Page
Loading...
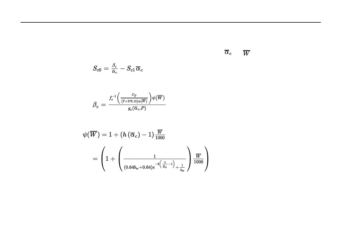
Spanning CO
2
When the command for setting the span for CO
2
is received, along with the target concentration
C
T
, the LI-840A computes S
c0
from equation B-26, where and are averaged for 5 seconds.
B-26
where
B-27
Note that
B-28
The instrument retains the following values which are used for subsequent secondary spans, if
necessary:
Appendix B
Appendix B. Equation SummaryB-10

Related product manuals