EasyManua.ls Logo

Macurco GD-6 - Tension de Ligne de la Série 12

Macurco GD-6
104 pages
Print Icon
To Next Page IconTo Next Page
To Next Page IconTo Next Page
To Previous Page IconTo Previous Page
To Previous Page IconTo Previous Page
Loading...
Manuel d'exploitation de Macurco GD-xx
REV 2.0.0 [34-2900-0027-6 ] 15 | La page
3.2.2 Tension de ligne de la série 12
1. Le GD-12 est monté sur une boîte électrique carrée de 4 po (ou 4x4) fournie par l'entrepreneur. Ne montez
pas le GD-12 à l'intérieur d'une autre boîte, à moins qu'il n'y ait un bon flux d'air à travers elle.
2. Il y a deux bornes pour les contacts de relais d'alarme che, encore une fois sans préférence de polarité. Le
relais d'alarme peut commuter jusqu'à 0,5 A 120 V, ou 60 VA. Le relais d'alarme est activé si le gaz atteint ou
dépasse les réglages d'alarme. Reportez-vous à la section OPERATION de ces Instructions d'utilisation pour
plus de détails sur les paramètres de relais.
3. Le relais d'alarme peut être configuré pour s'ouvrir normalement (par défaut) (N.O.) ou normalement fermé
(N.C.) et s'activera si la concentration de gaz dépasse le point de décaillage de l'alarme. Il se désactivera une
fois que la concentration de gaz tombera en dessous du point de déclenchement de l'alarme. Notez que le
paramètre de « débronchement » fera en sorte que le relais d'alarme ne s'engage pas du tout.
4. Le contact sec, le relais de ventilateur SPDT a trois bornes. Le contact commun (COM.), normalement ouvert
(N.O.) et le contact normalement fermé (N.C.). Le relais de ventilateur peut passer jusqu'à 5,0 A jusqu'à 240
VAC. Reportez-vous à la section OPERATION de ces Instructions d'utilisation pour plus de détails sur les
paramètres de relais.
5. Le relais de ventilateur peut être configuré pour le verrouillage ou le non-verrouillage (par défaut) lorsqu'il
est activé (lorsque la concentration de gaz dépasse le point de jeu du relais de ventilateur). Une fois
verrouillé, l'alimentation devra être interrompue ou le bouton « TEST » enfoncé pour décorqueter l'état du
relais.
6. Le relais de ventilateur s'engagera si la concentration de gaz combustible de réglage de ventilateur est
dépassée pendant plus longtemps que le temps de retard de relais de ventilateur. À moins qu'il ne soit
configuré pour le verrouillage, le relais de ventilateur se désengagera une fois que ces deux conditions ont
été remplies :
La concentration de gaz combustible est tombée en dessous du réglage du ventilateur
Le temps d'exécution du relais de ventilateur a été dépassé
Notez que le paramètre de ventilateur « désactiver » empêchera le relais de ventilateur de s'engager. Le
relais de ventilateur s'engagera dans l'état de défaut de panne de problème (si l'option de réglage de
ventilateur de dérangement est réglée sur « ON ») et se désengagera une fois que la condition de défaut de
panne de panne est effacée.
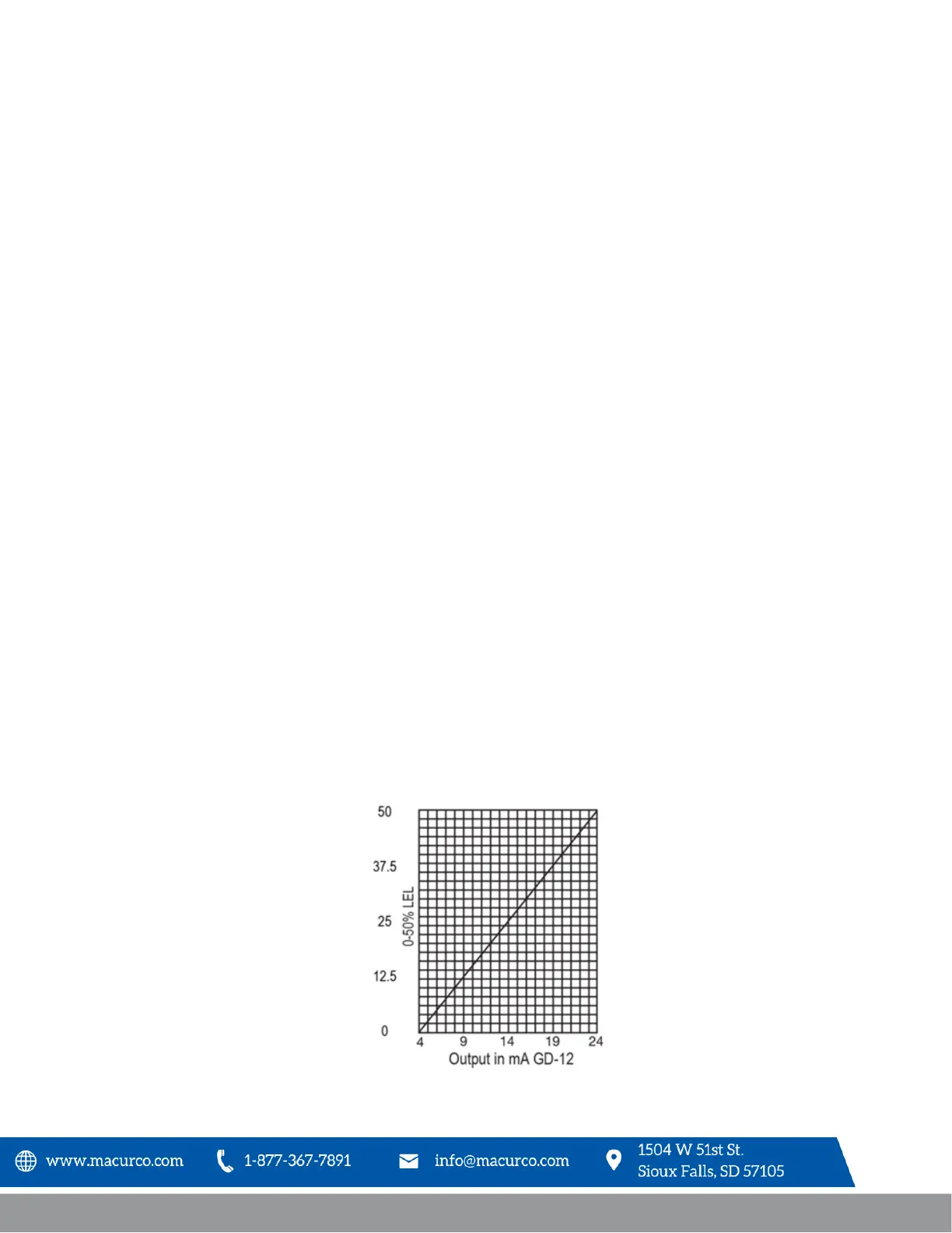
7. La boucle de courant est de 4 mA dans l'air pur et de 4-20 mA pour 0-50% LEL

Table of Contents

Related product manuals