EasyManua.ls Logo

Magicar m110as bruger - Valet Mode Entry via Key; Remote Options Setup

Magicar m110as bruger
23 pages
Print Icon
To Next Page IconTo Next Page
To Next Page IconTo Next Page
To Previous Page IconTo Previous Page
To Previous Page IconTo Previous Page
Loading...
Two-Way Remote User’s Guide
44
Two-Way Remote User’s Guide
43
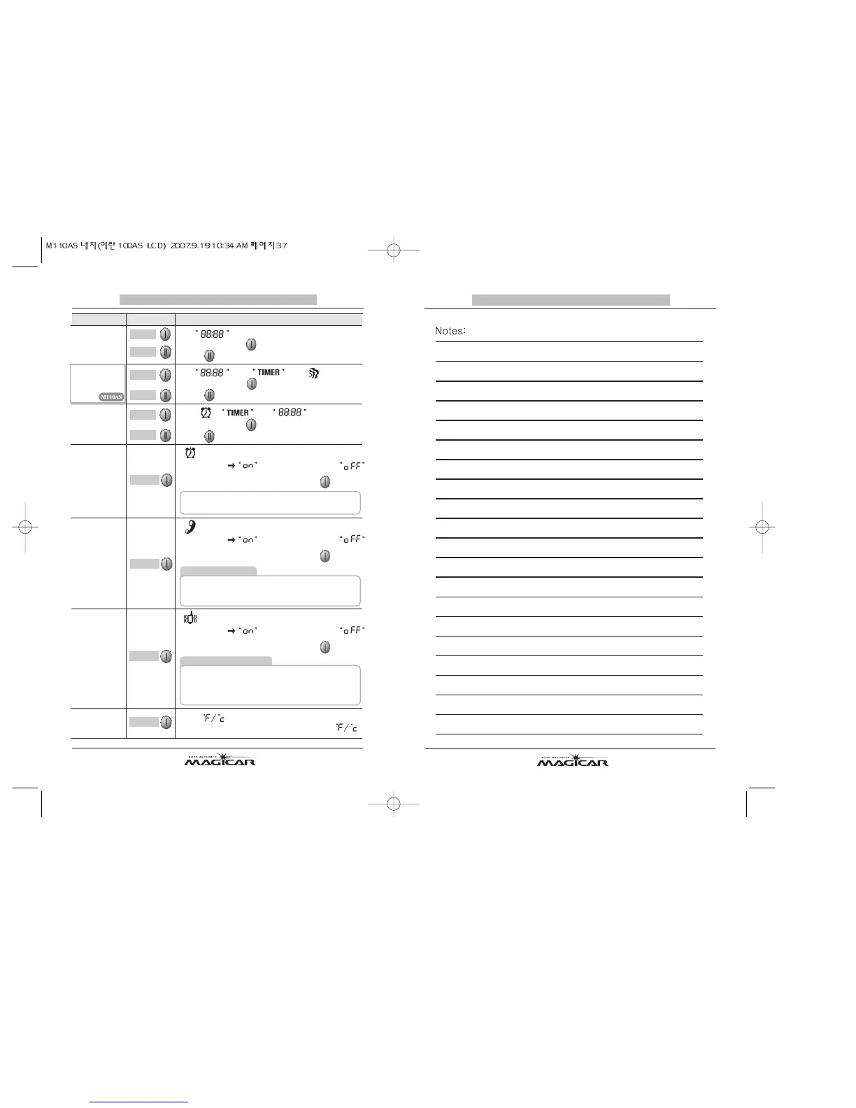
Function
Button
Application Method
Set-up of
Alarm
Clock Time
Set-up/can-
cellation of
Alarm
Clock
Function
Set-up of
Timer Start
Reservation
Time
Set-up/cancel-
lation of
Remote
Paging Sensor
Set-up/can-
cellation of
Vibration
Mode
Fahrenheit
Centigrade
ON/OFF
Change
ON/OFF
ON/OFF
Hour
Minute
Hour
Minute
Hour
Minute
The icon flashes.
The icon,
and [ ] flash
The [ ], and
icon flash.
[ ] icon flashes
Set-up of
Present time
At this time, button will control the hour, and
button will control the minute.
At this time, button will control the hour, and
button will control the minute.
At this time, button will control the hour, and
button will control the minute.
Clock display
for alarm clock active,
for alarm clock disabled.
Toggle this option on and off with button .
[ ] icon flashes
When the alarm clock activates at the specified time, tap
any button for 0.5 sec. to silence the remote.
In order for someone to use the RPS to page your
remote, the system must be armed/locked and the
RPS must be knocked on twice within 2 sec.
With the vibration function on, the remote will not
make any sound unless the alarm is triggered. With
vibration mode off, vibration will be felt during an
RPS page, or if alarm is triggered.
The icon flashes.
The change of the temperature unit with either
Clock display
for alarm clock active,
for alarm clock disabled.
Toggle this option on and off with button .
RPS Function ON/OFF
[ ] icon flashes
Clock display for alarm clock active,
for alarm clock disabled.
Toggle this option on and off with button .
Vibration Function ON/OFF

Table of Contents

Related product manuals