EasyManua.ls Logo

Marantz DV9600 - Page 73

Marantz DV9600
207 pages
Print Icon
To Next Page IconTo Next Page
To Next Page IconTo Next Page
To Previous Page IconTo Previous Page
To Previous Page IconTo Previous Page
Loading...
71
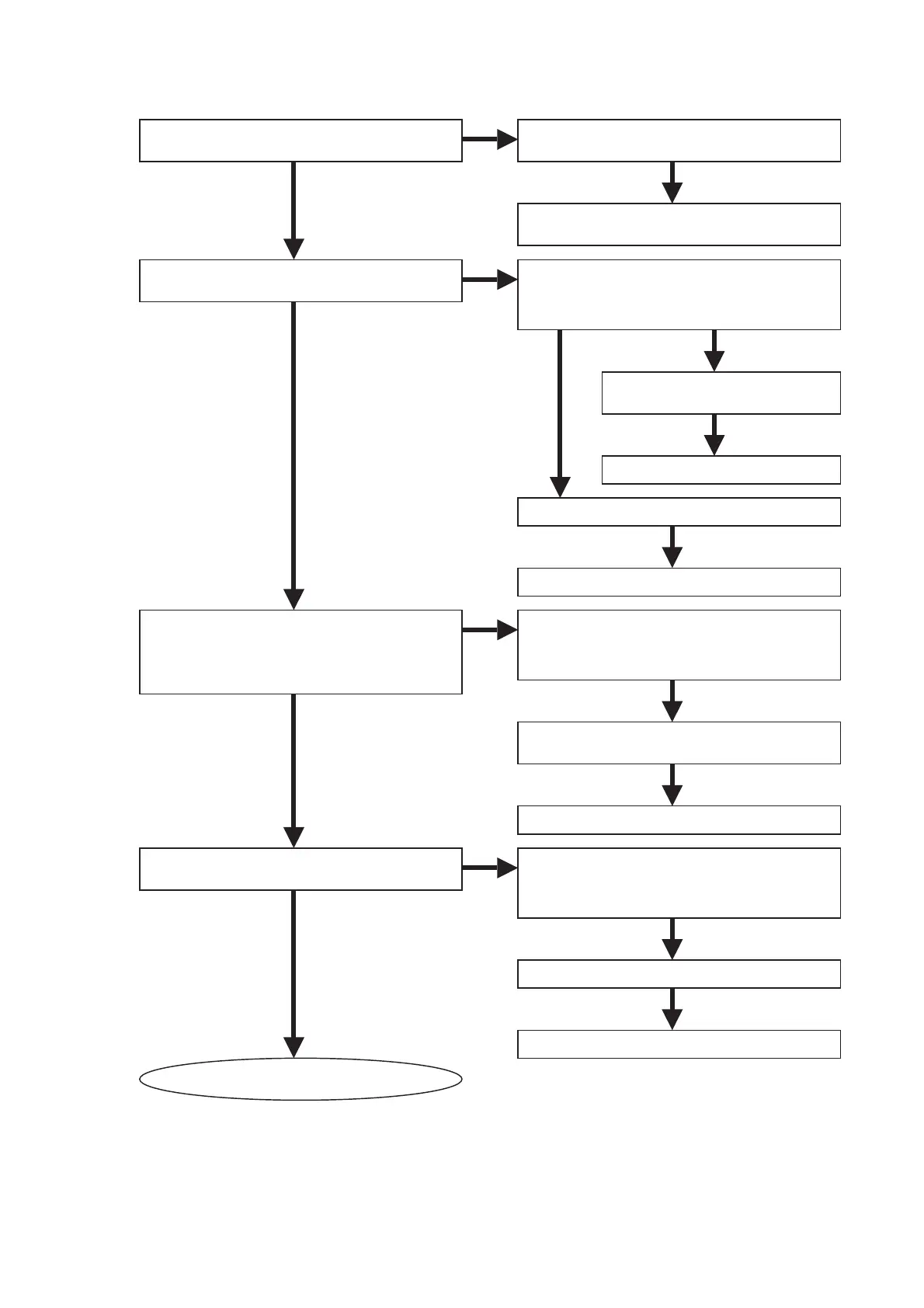
3.4 Digital Video 出力の動作確認
NG
OK
NG
OK
OK
NG OK
OK
NG
OK
OK
OK
OK
OK
NG
OK
OK
Q101のデジタル信号出力確認
PXD(07)VCLK(27MHz)の出力OK?
Video用リセット信号の確認
Q1099ピン H?
I/Pコンバータへのデジタル信号入力確認
QK0113ピン(PDCLK)310ピン(PD0
7)16ピン(S)172ピン(RESET)
確認
QK01(CD0040AF)の電圧確認
VD+3.3VVD+1.8V
Video 2
Q101183192ピンとR201R202
R125の半田付け確認
3.1 Panel uPの動作確認へ
Q10911ピン 電源ON LH?
Q1098ピン H?
R189R190R191Q108
半田付け確認
Q108交換
R192
Q109の半田付け確認
Q109交換
QK10QK11と周辺部品(RK48RK49
RK54RK61RK30RK01RK04)
半田付け確認
VD+3.3Vの電源確認、LK34半田付け確認
QK10QK11交換
QK91QK92周辺の半田付け確認
LK01LK02の半田付け確認
入力電圧 E+4Vの確認
QK91QK92交換

Other manuals for Marantz DV9600

Related product manuals