EasyManua.ls Logo

Mastervolt ALPHA ALTERNATOR 12/90 - Temperature Compensated Charging; Masterbus

Mastervolt ALPHA ALTERNATOR 12/90
28 pages
Print Icon
To Next Page IconTo Next Page
To Next Page IconTo Next Page
To Previous Page IconTo Previous Page
To Previous Page IconTo Previous Page
Loading...
TECHNOLOGY
8
January 2013/ Alpha alternator - Alpha Pro II regulator / EN
Once the battery is fully charged, the Alpha Pro II
regulator automatically switches over to the float
phase.
After Absorption phase (C) the Alpha Pro II regulator
switches to Float voltage and stabilises this voltage
to maintain the batteries in an optimum condition.
Connected loads are powered directly by the
charging system. If the load is higher than capacity
of the charging system, the required additional
power comes from the battery, which will be
progressively discharged. The Alpha Pro II regulator
will start a new cycle when the engine is started
again.
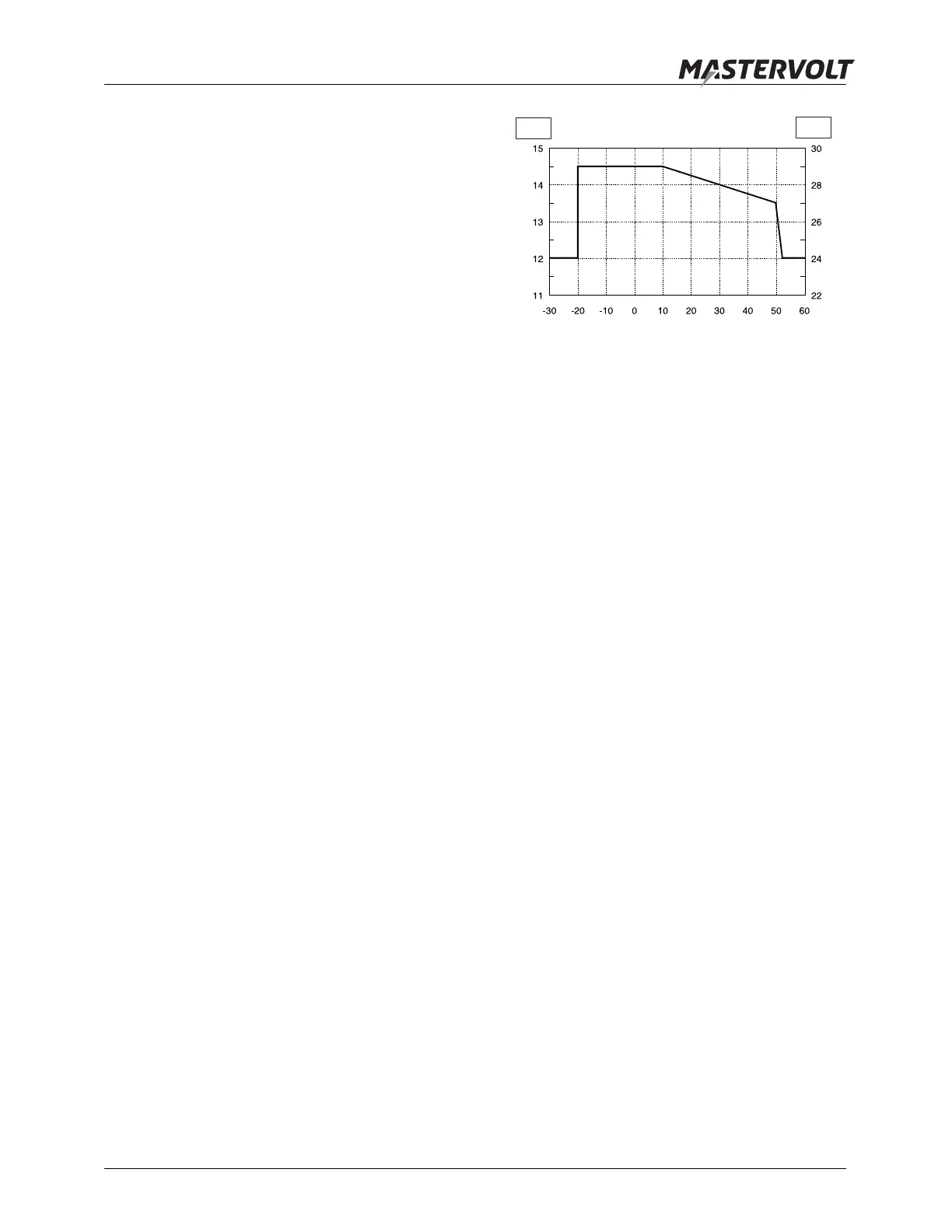
3.2.2 Temperature compensated charging
A battery temperature sensor is not included in the
delivery of the Alpha Pro II regulator. By installing
this battery temperature sensor the charge voltages
are automatically adapted for deviating
temperatures.
Figure 3: Temperature compensated charging
See figure 3. When the battery temperature is low,
the charge voltage increases. On the other hand,
when the battery temperature is high, the charge
voltage is decreased. Over charge and gassing are
prevented this way. This will extend the life of your
batteries. Consult your battery manufacturer for
recommended charging voltages.
3.2.3 MasterBus
The Alpha Pro II regulator features MasterBus,
enabling communication with a MasterShunt for
instance. This MasterShunt can be selected in the
configuration menu after which it transmits battery
state data to the Alpha Pro II. More MasterBus
devices can be connected.
12V
24V
battery temperature (°C)
charge voltage (V)

Table of Contents

Related product manuals