EasyManua.ls Logo

Megger TORKEL 910 - Technical Specifications; TORKEL 900-series Specifications

Megger TORKEL 910
52 pages
Print Icon
To Next Page IconTo Next Page
To Next Page IconTo Next Page
To Previous Page IconTo Previous Page
To Previous Page IconTo Previous Page
Loading...
46 TORKEL 900-SERIES ZP-CS01E CS033663DE
12 SPECIFICATIONS
12
Specifications
Voltage measurement
Voltage 0 to 500 V DC
Inaccuracy ±(0.5% of reading +0.1 V DC)
Resolution 0.1 V
Sample rate
10 Hz, Values are saved when change is >10 mV
Time measurement
Inaccuracy ±0.1% of reading ±1 digit
Load section
Battery voltage
7.5 V to 300 V
1)
/ 500 V
2)
Power 15 kW (max)
Load patterns Constant current, constant power, constant
resistance, current or power profile
Constant I
Range
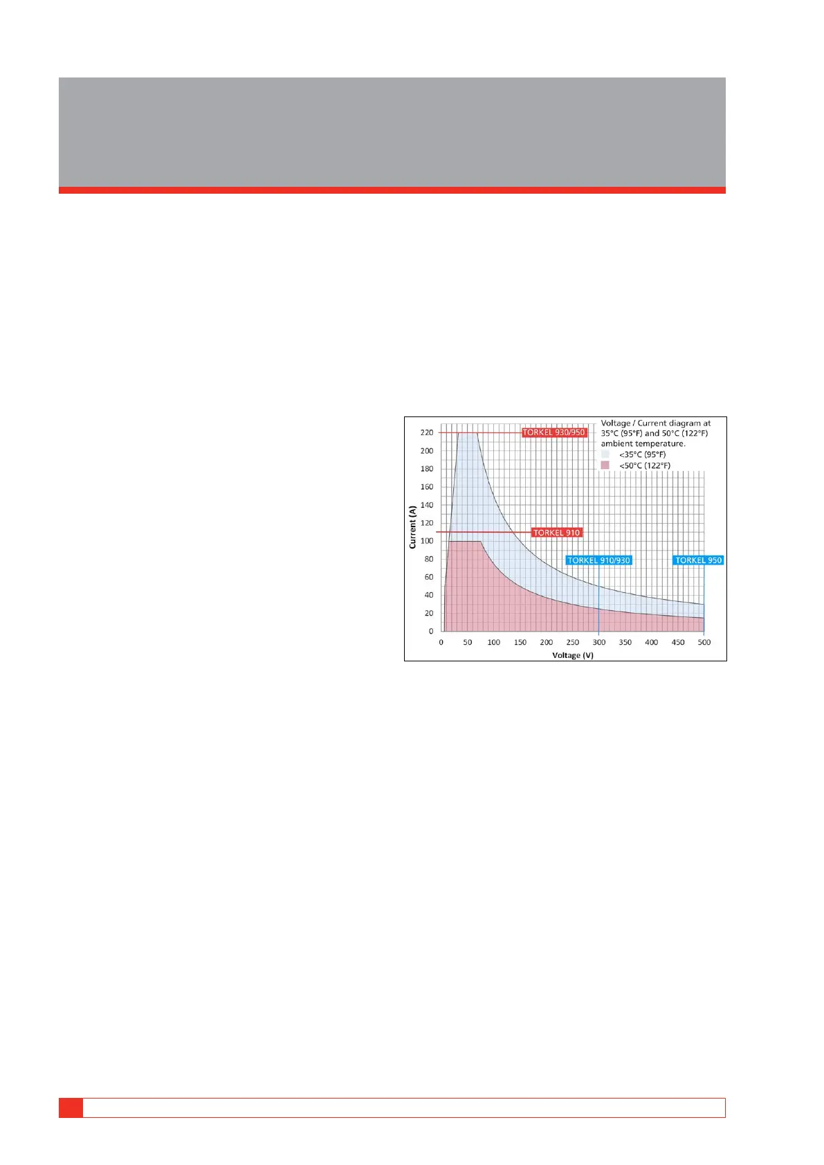
TORKEL 910 0 to 110.0 A
TORKEL 930 / 950 0 to 220.0 A
Inaccuracy ±(0.5% +0.2 A)
Resolution 0.1 A
Ripple max 0.5 A peak
Constant R
Range 300 m to 3 k
Inaccuracy ±1% typical
Resolution 100 m
Constant P
Range 0 to 15 kW
Inaccuracy ±1% typical
Resolution 10 W
Inputs
+
7.5 to 300 V
.
1)
7.5 to 500 V
.
2)
0 V
I EXT ≤ 1 V 1 V DC, 300 V DC to ground
VOLTAGE SENSE Impedance to the current terminals is >1 M
SPECIFICATIONS
TORKEL 900-series
Specifications are valid at nominal input voltage and an ambient
temperature of +25°C, (77°F). Specifications are subject to change
without notice.
Environment
Application field The instrument is intended for use in high-
voltage substations and industrial environ-
ments.
Temperature
Operating C to +50°C (32°F to +122°F)
Power derating at temperatures over +35°C
(+95°F)
Storage & transport -4C to +70°C (-4F to +158°F)
Humidity 5% – 95% RH, non-condensing
Shock/Vibration/Fall
Instrument only ETSI EN 300 019-2-7 class 7M2
Instrument in
transport case
ISTA 2A
Altitude
Operating 3000 m (10000 ft)
Storage 10000 m (33000 ft)
Encapsulation class IP20
CE-marking
LVD IEC61010-1:2010 & IEC61010-2-030
EMC IEC61326 -1
General
Mains voltage 100 – 240 V AC, 50 / 60 Hz
Power consumption 200 W (max)
Power interruption 40 ms (max)
Protection Thermal cut-outs, Automatic overload pro-
tection, Emergency stop button
Dimensions 519 x 315 x 375 mm, (20.5” x 12.4” x 14.7”)
Weight 19.5 kg (43.0 lbs) instrument
31.9 kg (70.3 lbs) incl. standard transport case
37 kg (82 lbs) incl. large transport case
Display 7" LCD, Capacitive touch screen
Available languages
English, French, German, Spanish, Swedish
Measurement section
Current measurement
Display range 0.0 to 2999.0 A
Basic inaccuracy ±(0.5% of reading +0.1 A)
Resolution 0.1 A
Internal current measurement
Range
TORKEL 910 0 to 110 A
TORKEL 930 / 950 0 to 220 A
Input for clamp-on probe
Range 0 to 1000 mV DC
mV/A-ratio 0.30 mV/A to 100.00 mV/A
Input impedance >1 M

Table of Contents

Related product manuals