EasyManua.ls Logo

Motorola Commercial CM Series - Troubleshooting Flow Chart for 25 W Transmitter (Sheet 2 of 3)

Motorola Commercial CM Series
90 pages
To Next Page IconTo Next Page
To Next Page IconTo Next Page
To Previous Page IconTo Previous Page
To Previous Page IconTo Previous Page
Loading...
Troubleshooting Flow Chart for 25W Transmitter (Sheet 1 of 3) 3-5
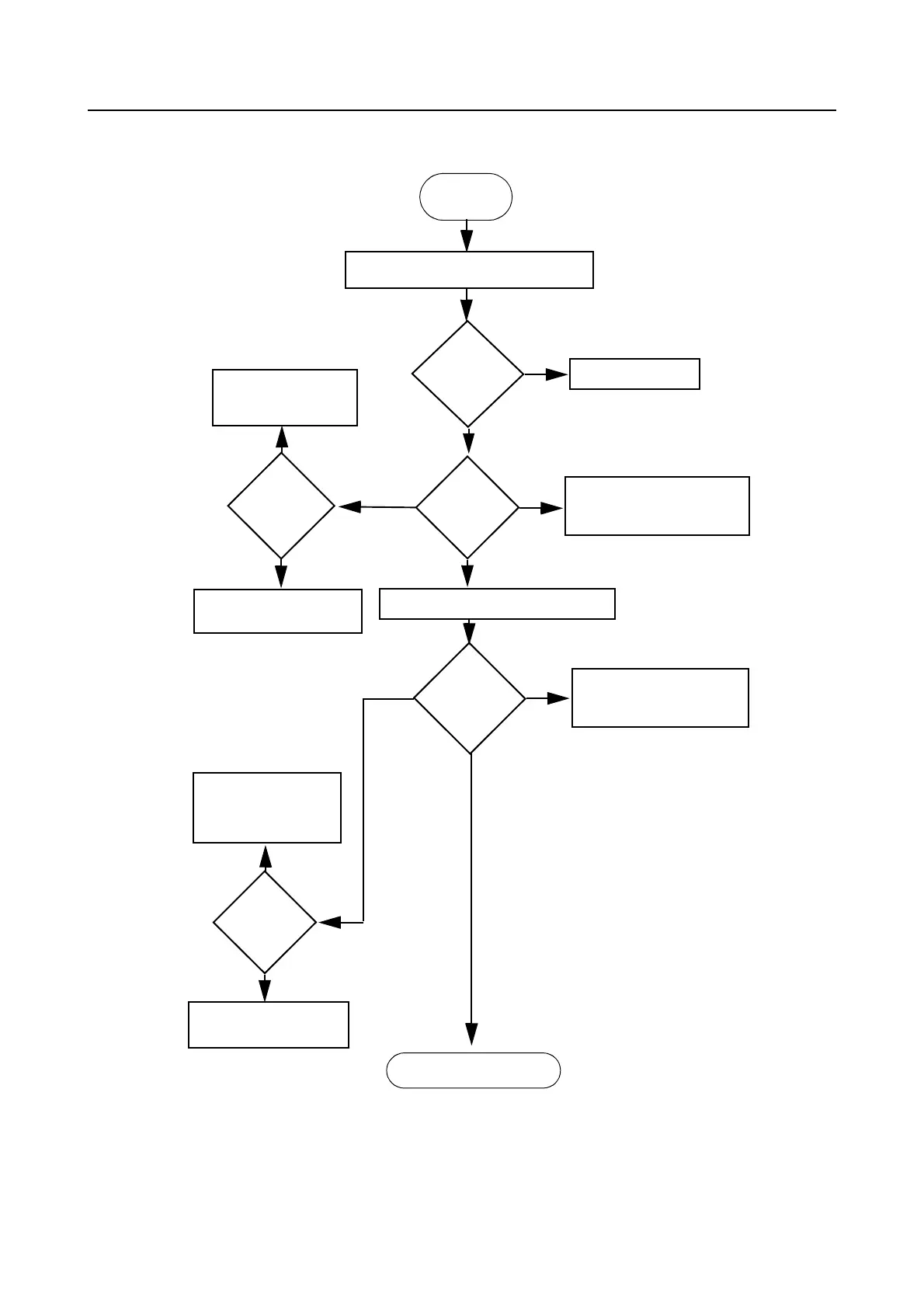
2.1 Troubleshooting Flow Chart for 25W Transmitter (Sheet 2 of 3)
Yes
>3V
Check Q102, R139,
R155, R166, R126-
R128, R169, R138,
R175, R147
Check PA
Stages
No or too low power when keyed
DC
Voltage
at Q101 & Q102
base=0?
DC
Voltage
at U103
Pin 8
Check U403
Check resistive network at
Pin 9 and 10 of U103
before replacing U101
Measure DC Voltage at U102 Pin 1
Pin 1
Voltage
Check resistive network at
Pin 2 & 3 of U102 before
replacing Q105
Check Final PA Stages
DC
Voltage
U102 Pin 3 =
8.7V
Check U102 before re-
placing Q105
DC
Voltage at
U103 Pin
10=8.9V
Check Q101, Q102,
R153, R136, R165,
R122, R168 & R137
Check U103 before re-
placing U101
No
No
Yes
>4.5V
3.5 to 4.5V
2-3V
Yes
No
<3.5V
<2V

Table of Contents

Related product manuals