EasyManua.ls Logo

Motorola GM328

Motorola GM328
556 pages
To Next Page IconTo Next Page
To Next Page IconTo Next Page
To Previous Page IconTo Previous Page
To Previous Page IconTo Previous Page
Loading...
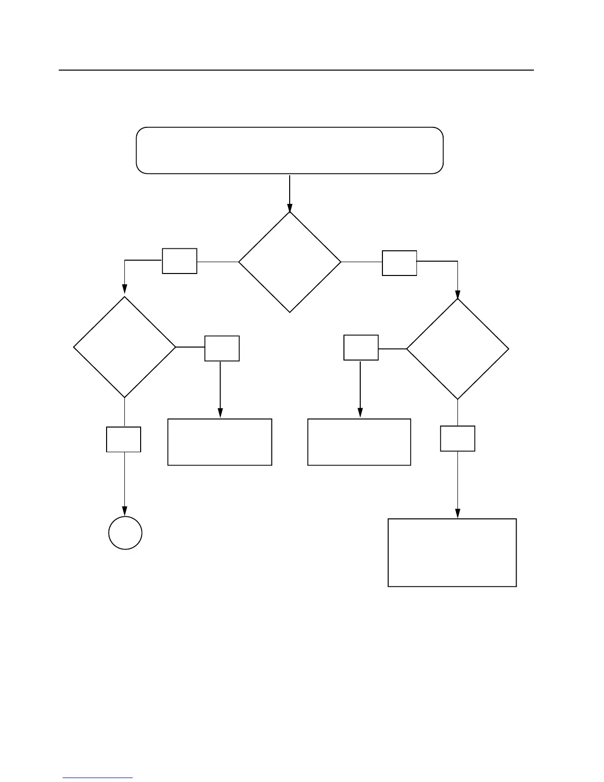
3-8 Controlhead GM398 Troubleshooting Flow Chart
3.2 Microprocessor
Power Up Alert Tone is audible on external speaker but volume
knob does not operate and no indicators are on
TP0876
=5V ?
NO
YES
U0871
Pin 73 EXTAL
= 8 MHz
TP0866
= 0V
NO
Check / Replace
R0873 / U0873 /
U0871
Check / Replace
R0866 / C0866 /
Q0866 / R0863
Check / Replace
R0861 / R0862 / D0861
C0861 / C0862 / U0861
C0863 / C0864 / C0865
NO
YES
YES
A

Table of Contents

Other manuals for Motorola GM328

Related product manuals