EasyManua.ls Logo

Motorola Professional GP340 - Transmitter

Motorola Professional GP340
290 pages
To Next Page IconTo Next Page
To Next Page IconTo Next Page
To Previous Page IconTo Previous Page
To Previous Page IconTo Previous Page
Loading...
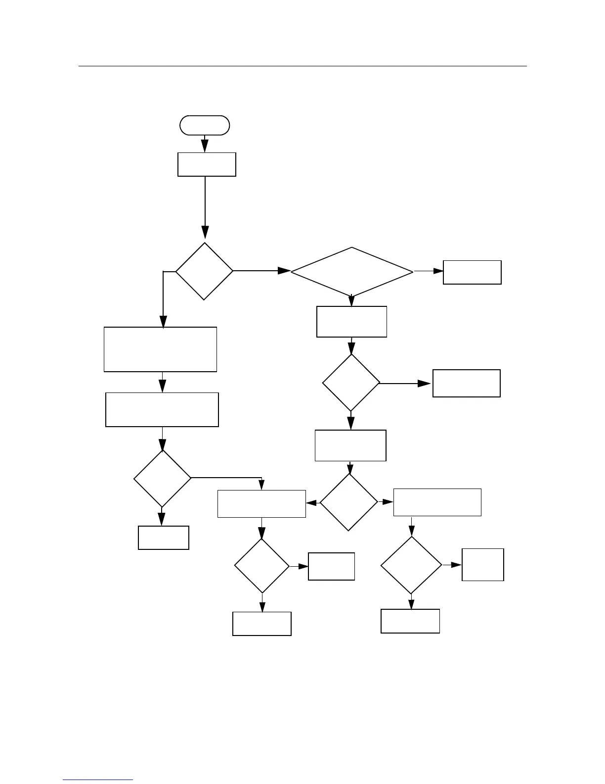
Transmitter 3-3
3.0 Transmitter
START
No Power
Is Current
~ 2 A?
Is control voltage
at U101 Pin 1 > 5
VDC
Check PCIC
1. Check Pin Diodes
2. Check Harmonic Filter
3. Check PA Bias
Inspect/Repair Tx.
Output Network
Is Power
OK?
Done
Check input to
U101, Pin 16
Is voltage
> 1 Vpp?
Troubleshoot
VCO
Check level
U101, Pin 6
Is level
>5 Vpp?
Is Power
OK?
Replace
Q101
Yes
No
No
Yes
No
Yes
No
Yes
Yes
No
Yes
No
Check components
around U101
Is Power
OK?
Done
Replace
U101
No
Check components
around Q100
Yes
Done

Table of Contents

Related product manuals