EasyManua.ls Logo

Motorola Professional GP340 - Troubleshooting Flow Chart for VCO

Motorola Professional GP340
290 pages
To Next Page IconTo Next Page
To Next Page IconTo Next Page
To Previous Page IconTo Previous Page
To Previous Page IconTo Previous Page
Loading...
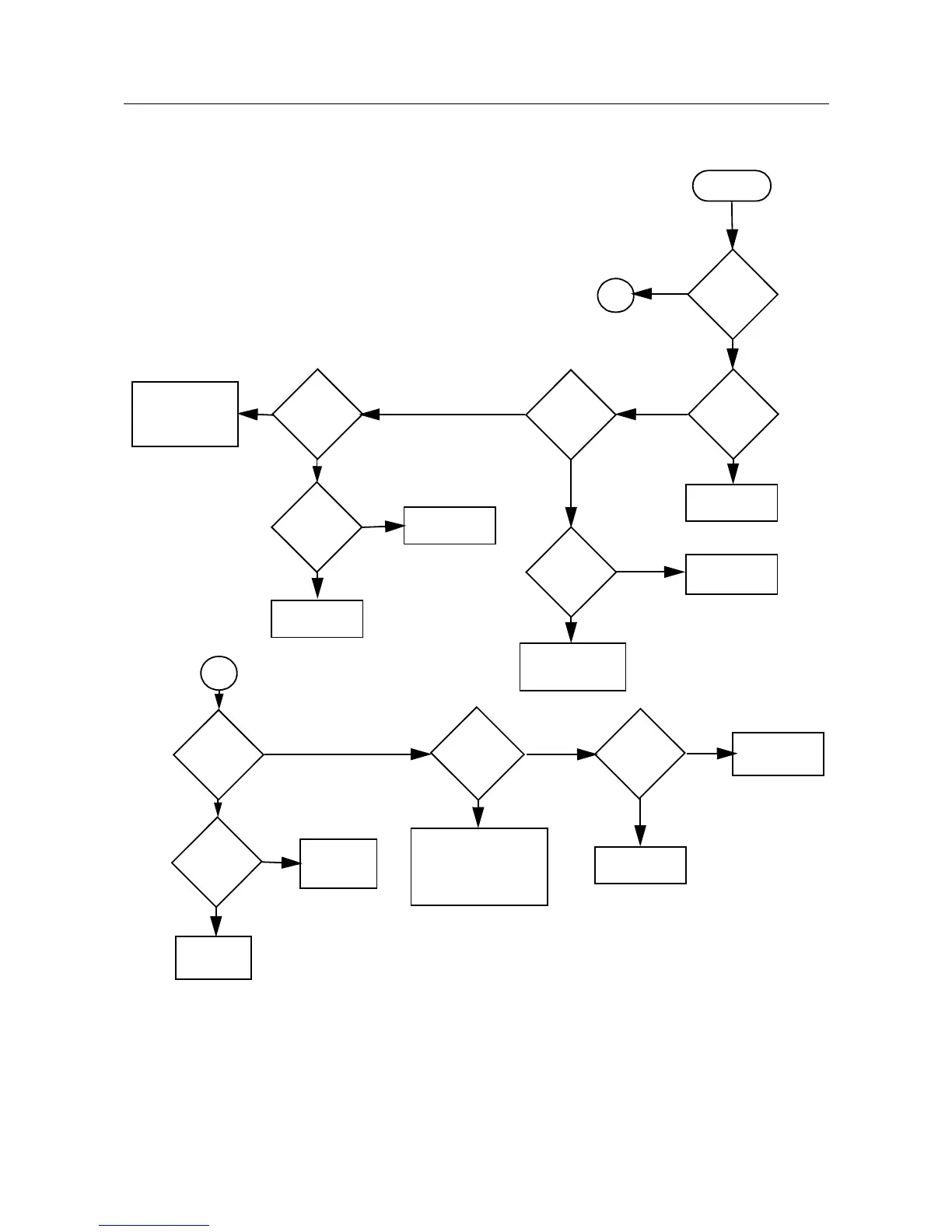
Troubleshooting Flow Chart for VCO 3-5
5.0 Troubleshooting Flow Chart for VCO
Tx
Carrier?
L253
Open
Circuit?
VCTRL
0V or
13V?
START
No LO?
VCO OK
Check
R260
TRB =
5V? @U241
Pin 19
U241
Pin 10
>1V?
Change
L253
Change
U241
AUX 3
High?
Check U201
Pin 2 for 3.2V
U241
Pin 19 =0V
AUX 4
High?
Change
U201
L243
Open
Circuit?
Change
L243
Change
U241
Change
Q261
Check for faulty
parts or dry joints of
L271, L273, C370,
C386, R339 & L320
A
A
No
No
Yes
Yes
Yes
No
No
Yes
Yes
Yes
No
Yes
No
No
Yes
Yes
No
No
Check R245
for dry joint
or faulty
No
Yes

Table of Contents

Related product manuals