EasyManua.ls Logo

Motorola Radius CM200

Motorola Radius CM200
314 pages
To Next Page IconTo Next Page
To Next Page IconTo Next Page
To Previous Page IconTo Previous Page
To Previous Page IconTo Previous Page
Loading...
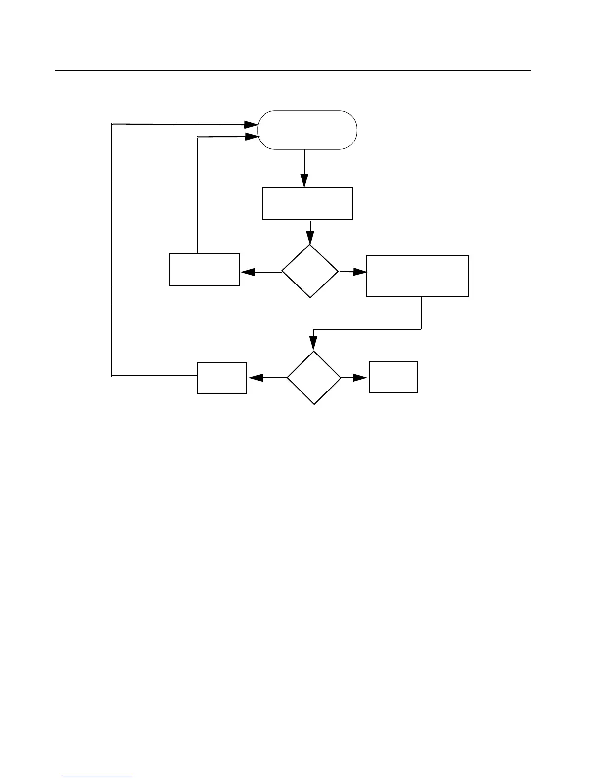
3-4 TROUBLESHOOTING CHARTS
2.0 Troubleshooting Flow TX RF (No Output Power)
START
Key the radio
No
Yes
Yes
No
Tune the
PA_BIAS
Measure TP102
Is
TP102
< 1.8 Vdc?
Short TP110 to ground
and measure the
Output Power
Is
POUT
< 1 Watt
?
Replace
L108
End

Table of Contents

Other manuals for Motorola Radius CM200

Related product manuals