EasyManua.ls Logo

Motorola Radius CM200

Motorola Radius CM200
314 pages
To Next Page IconTo Next Page
To Next Page IconTo Next Page
To Previous Page IconTo Previous Page
To Previous Page IconTo Previous Page
Loading...
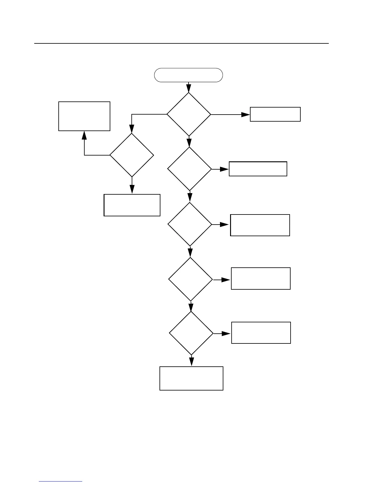
3-6 TROUBLESHOOTING CHARTS
2.2 Troubleshooting Flow Chart for 45 W Transmitter (Sheet 3 of 3)
No
Yes
Yes
No
Check Final PA Stage
PA_Bias
Voltage at
R134
RF Voltage
after C1044
>100mV?
Voltage
across R122
>2V?
RF Voltage
Q105 gate
>1V?
RF Voltage
Q100 gate
>1.5V?
Check components
between Q100 &
antenna connector
Replace Q100
Check FGU
Check components
between C1044 &
C1117
Check components
between C1117 &
Q105
Check components
between Q105 &
Q100
No
No
Yes
Yes
1–4Vdc
Supply Voltage
Check components
between ASFIC &
Q100 before re-
placing Q100
RF Voltage
after C1044
>100mV?
Check Bias Tuning
before replacing
ASFIC U504
Yes
No
0V

Table of Contents

Other manuals for Motorola Radius CM200

Related product manuals