EasyManua.ls Logo

NAD 7130 - NAD 7130 Parts List and Mechanical Diagrams; Detailed Parts List

NAD 7130
25 pages
Print Icon
To Next Page IconTo Next Page
To Next Page IconTo Next Page
To Previous Page IconTo Previous Page
To Previous Page IconTo Previous Page
Loading...
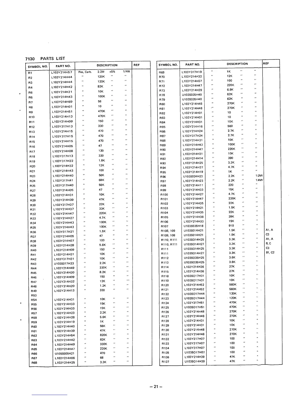
7130
PARTS
LIST
SYMBOL
NO.
PART
NO.
DESCRIPTION
REF
R1
L103Y214H57
Res.
Carb.
2.2M
±5%
1/4W
R2
L103Y214H44
120K
R3
L103Y214H44
"
120K
R4
L103Y214H42
"
82K
R6
L103Y214H31
"
10K
R6
L103Y214H43
"
100K
R7
L103Y214H69
56
R8
L103Y214H01
10
R9
L103Y214H51
470K
RIO
L103Y214H13
470K
R11
L103Y214H09
150
R12
L103Y317H13
330
R13
L103Y214H15
470
R14
L103Y317H15
"
470
R15
L103Y214H1
5
470
R16
L103Y214H05
47
R17
L103Y214H08
»
120
R18
L103Y317H13
330
R19
L103Y317H22
'•
1.8K
R20
L103Y214H32
"
12K
R21
L103Y214H43
"
100
R23
U103Y214H40
56K
R24
L103Y317H41
68K
R25
L103Y317H40
"
56K
R27
L103Y214H05
47
R28
L103Y214H31
10K
R29
L103Y214H39
47K
R30
L103Y317H37
22K
R31
L103Y214H37
33K
R32
L103Y214H47
220K
,
''
R33
L103Y214H27
4.7K
R34
L103Y214H43
100K
R35
L103Y214H43
100K
R36
L103Y317H21
1.5K
R37
L103Y214H05
"
47
R38
L103Y214H07
"
100
R39
L103Y214H28
5.6K
R40
L103Y214H09
150
R41
L103Y214H31
lOK
R42
L103Y317H31
10K
R43
U103S017H23
2.2K
R44
L103Y214H49
330K
R45
L103Y214H30
8.2K
R46
L103Y214H09
150
R47
L103Y214H32
12K
R48
L103Y214H20
"
1.2K
R49
R53
L103Y214H13
330
R54
L103Y214H31
10K
R55
L103Y214H33
15K
R56
L103Y214H33
15K
R57
L103Y214H23
2.2K
R58
L103Y214H28
5.6K
R59
L103Y214H19
"
IK
R60
L103Y214H40
56K
R61
L103Y214H39
47K
R62
L103Y214H54
820K
R63
L103Y214H42
82K
R64
L103Y214H49
"
330K
R65
L103Y214H47
220K
R66
U105S005H21
470
R67
L103Y214H06
"
68
R68
L103Y214H25
"
3.3K
SYMBOL
NO.
PART
NO.
DESCRIPTION
^EF
R69
L103Y317H19
IK
R70
L103Y214H32
12K
R71
L103Y214H07
100
R72
L103Y214H47
"
220K
R73
L103Y214H29
6.8K
R78
U103S035H40
62K
R79
U103S035H40
62K
R80
L103Y214H48
270K
R81
L103Y214H48
270K
R82
L103Y214H01
10
R83
L103Y214H01
10
R84
L103Y214H31
lOK
R85
L103Y214H16
560
R86
L103Y214H24
2.7K
R87
L103Y317H24
2.7K
R88
L103Y214H31
10K
R89
L103Y214H43
100K
R90
L103Y214H47
220K
R91
L103Y214H31
10K
R92
L103Y214H14
390
R93
L103Y214H25
"
3.3K
R94
L103Y214H27
4.7K
R95
L103Y214H19
IK
R96
U103S024H23
2.2K
1I2W
R97
L103Y214H23
"
2.2K
"
1/4W
R98
L103Y214H11
220
R99
L103Y214H33
15K
R100
L103Y214H27
4.7K
R101
L103Y214H47
220K
R102
L103Y214H35
22K
R103
L103Y214H21
1.5K
R104
L103Y214H35
22K
R105
L103Y214H38
39K
R106
L103Y214H33
15K
R107
U103S035H18
910
R108,
109
U103S014H21
1.5K
A1,
A
R109,
108
U103S014H21
1.5K
C3
R110.
Rill
U103S014H25
3.3K
A1, A
R110,
R111
U103S014H27
3.3K
B,
C
R111
U103S014H25
3.3K
C3
R111
U103SO14H27
3.3K
B1, C2
R112
U103S035H25
3.6K
R113
U103SO35H25
3.6K
R114
L103Y214H36
27K
R115
L103Y214H36
"
27K
R118
U103S017H31
10K
R119
U103SO17H31
10K
R120
L103Y214H52
560K
R121
L103Y214H52
560K
R122
U103S017H44
120K
R123
U103S017H44
120K
R124
L103Y317H51
470K
R125
U103S017H51
470K
R126
L103Y214H48
270K
R127
L103Y214H48
270K
R128
L103Y214H31
10K
R129
L103Y214H31
"
lOK
R130
L103Y214H48
270K
R131
L103Y214H48
"
270K
R132
L103Y317H07
"
100
R133
L103Y317H07
100
R134
L103Y317H07
"
100
R135
U103S017H07
"
100
R136
L103Y214H39
47K
R137
U103S014H39
"
47K

Other manuals for NAD 7130

Related product manuals