EasyManua.ls Logo

NAD 7130 - Page 17

NAD 7130
25 pages
Print Icon
To Next Page IconTo Next Page
To Next Page IconTo Next Page
To Previous Page IconTo Previous Page
To Previous Page IconTo Previous Page
Loading...
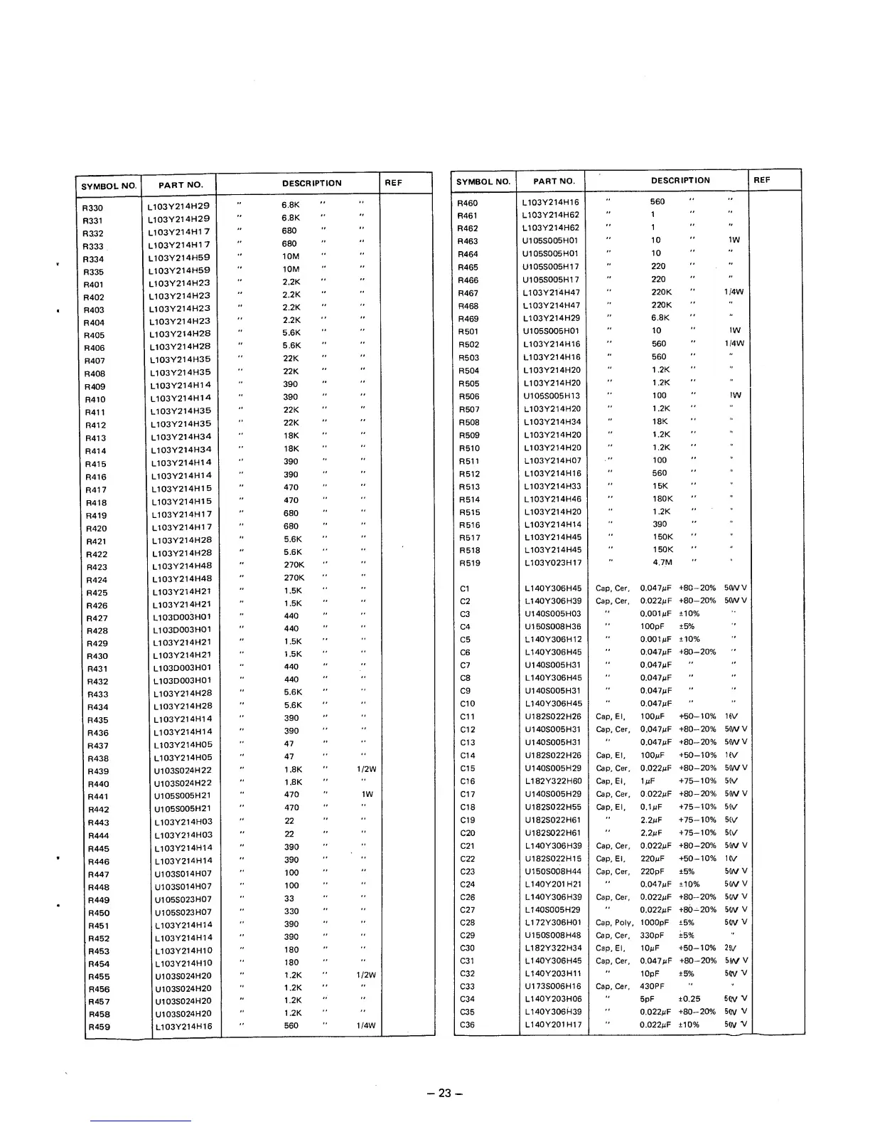
SYMBOL
NO.
PART
NO.
DESCRIPTION
REF
SYMBOL
NO.
PART
NO.
DESCRIPTION
REF
R330
L103Y214H29
"
6.8K
R460
L103Y214H16
560
R331
L103Y214H29
6.8K
"
R461
L103Y214H62
1
R3.32
L103Y214H1
7
680
R462
L103Y214H62
1
R333
L103Y214H1
7
"
680
R463
U105S005H01
10 1W
R334
L103Y214H59
10M
R464
U105S005H01
10
R335
L103Y214H59
10M
R465
U105S005H17
220
R401
L103Y214H23
"
2.2K
*'
R466
U105S005H17
220
R402
L103Y214H23
2.2K
R467
L103Y214H47
"
220
K
1/4W
R403
L103Y214H23
"
2.2K
R468
L103Y214H47
220 K
R404
L103Y214H23
2.2K
R469
L103Y214H29
6.8K
R405
L103Y214H28
"
5.6K
"
R501
U105S005H01
10 1W
R406
L103Y214K28
"
5.6K
R502
L103Y214H16
560
1/4W
R407
L103Y214H35
22K
R503
L103Y214H16
560
R408
L103Y214H35
22K
R504
L103Y214H20
1.2K
R409
L103Y214H14
390
R505
L103Y214H20
1.2K
R410
L103Y214H14
"
390
R506
U105S005H13
100
IW
R411
L103Y214H35
22K
R507
L103Y214H20
1.2K
R412
L103Y214H35
"
22K
R508
L103Y214H34
18K
R413
L103Y214H34
18K R509
L103Y214H20
1.2K
R414
L103Y214H34
"
18K
R510
L103Y214H20
1.2K
R415
L103Y214H14
390
R511
L103Y214H07
100
R416
L103Y214H14
390
R512
L103Y214H16
560
R417
L103Y214H1
5
470
R513
L103Y214H33
15K
R418
L103Y214H15
470
R514
L103Y214H46
180K
R419
L103Y214H17
680
R515
L103Y214H20
1.2K
R420
L103Y214H17
680
R516
L103Y214H14
390
R421
L103Y214H28
"
5.6K
R517
L103Y214H45
150K
R422
L103Y214H28
5.6K
R518
L103Y214H45
150K
R423
L103Y214H48
270K
"
R519
L103Y023H17
4.7M
R424
L103Y214H48
270K
R425
L103Y214H21
1.5K
Cl
L140Y306H45 Cap,
Cer,
0.047mF
+80-20%
5(WV
R426
L103Y214H21
1
.5K
C2
L140Y306H39
Cap,
Cer,
0.022mF
+80-20%
5WV
R427
L103D003H01
440
C3
U140S005H03 0.001
mF
±10%
R428
L103D003H01
440
C4
U150S008H36
lOOpF
±5%
R429
L103Y214H21
"
1
,5K
C5
L140Y306H12
0.001
mF
±10%
R430
L103Y214H21
1.5K
C6
L140Y306H45
0.047mF
+80-20%
R431
L103D003H01
440
C7
U140S005H31
0.047mF
R432
L103D003H01
440
C8
L140Y306H45
0.047mF
R433
L103Y214H28
"
5.6K
C9
U140S005H31
0.047mF
R434
L103Y214H28
5.6K
"
CIO
L140Y306H45
0.047mF
R435
L103Y214H14
''
390
C11
U182S022H26 Cap,
El,
IOOmF
+50-10%
uv
R436
L103Y214H14
390
Cl 2
U140S005H31 Cap,
Cer,
0.047mF
+80-20%
5WV
R437
L103Y214H05
47
C13
U140S005H31
"
0.047mF
+80-20%
5WV
R438
L103Y214H05
47
Cl
4 U182S022H26 Cap,
El,
IOOmF
+50-10%
nv
R439
U103S024H22
1 ,8K
1/2W
Cl 5
U140S005H29
Cap,
Cer,
0.022mF
+80-20% 5C/VV
R440
U103S024H22
1
.8K
C16
L182Y322H60
Cap,
El,
ImF
+75-10%
50V/
R441
U105S005H21
"
470
"
1W C17
U140S005H29
Cap,
Cer,
0.022mF
+80-20%
5(IA/
V
R442
U105S005H21
"
470
CIS
U182S022H55
Cap,
El,
0.1mF
+75-10%
SiV
R443
L103Y214H03
22
C19
U182S022H61
2.2mF
+75-10%
5(\/
R444
L103Y214H03
22
C20
U182S022H61
"
2.2juF
+75-10%
5(\/
R445
L103Y214H14
390
C21
L140Y306H39 Cap,
Cer,
0.022mF
+80-20%
bW
V
R446
L103Y214H14
390
C22
U182S022H15 Cap, El,
220mF
+50-10%
R447
U103S014H07
100
C23
U150S008H44 Cap,
Cer,
220pF
±5%
&(A/
V
R448
U103S014H07
100
C24
L140Y201
H21
0.047mF
±10%
5(A/
V
R449
U105S023H07
33
C26
L140Y306H39
Cap,
Cer,
0.022mF
+80-20% 5WV
R450
U105S023H07
330
C27
L140S005H29
"
0.022mF
+80-20%
5(/V
V
R451
L103Y214H14
390
C28
L172Y306H01 Cap, Poly, lOOOpF
±5%
W
V
R452
L103Y214H14
390
C29
U150S008H48
Cap,
Cer,
330pF
±5%
R453
L103Y214H10
180
C30
L182Y322H34
Cap, El,
IOmF
+50-10%
25'/
R454
L103Y214H10
"
180
C31
L140Y306H45
Cap,
Cer,
0,047mF
+80-20%
5((V
V
R455
U103S024H20
1.2K 1/2W
C32
L140Y203H11
"
10pF
±5%
5fl,V
V
R456
U103S024H20
1.2K
"
C33
U173S006H16
Cap,
Cer,
430PF
R457
U103S024H20
"
1.2K
C34
L140Y203H06
"
5pF
±0.25
5C.V
V
R458
U103S024H20
"
1.2K
C35
L140Y306H39
"
0,022/uF
+80-20%
50V
V
R459
L103Y214H16
560 1/4W
C36
L140Y201H17
0.022mF
±10%
50V
V
-
23
-^

Other manuals for NAD 7130

Related product manuals