EasyManua.ls Logo

Nibe F1226 - Saving Tips; Power Consumption

Nibe F1226
68 pages
Print Icon
To Next Page IconTo Next Page
To Next Page IconTo Next Page
To Previous Page IconTo Previous Page
To Previous Page IconTo Previous Page
Loading...
The function of the safety valve must be checked regularly. You can find the
safety valve on the incoming pipe (cold water) to the water heater. Perform
checks as follows:
1.
Open the valve by turning the knob anti-clockwise carefully.
2.
Check that water flows through the valve.
3.
Close the valve by releasing it. If it does not close automatically when
released, turn it anti-clockwise slightly.
Saving tips
Your heat pump installation produces heat and hot water. This occurs via the
control settings you made.
Factors that affect the energy consumption are, for example, indoor temper-
ature, hot water consumption, the insulation level of the house and whether
the house has many large window surfaces. The position of the house, e.g.
wind exposure is also an affecting factor.
Also remember:
Open the thermostat valves completely (except in the rooms that are to
be kept cooler for various reasons, e.g. bedrooms). The thermostats slow
the flow in the heating system, which the heat pump wants to compensate
with increased temperatures. It then works harder and consumes more
electrical energy.
If you activate "Hot water Economy", less energy is used.
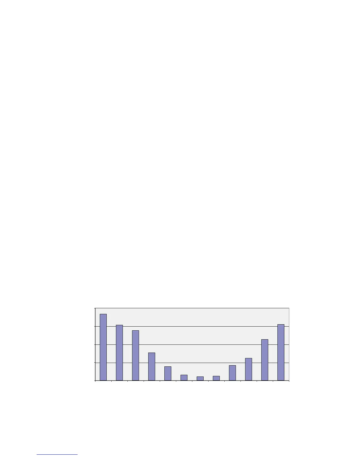
Power consumption
Energiförbrukning fördelat över året
0%
5%
10%
15%
20%
jan feb mars april maj juni juli aug sep okt nov dec
7KH JURXQG VRXUFH KHDW SXPSV HQHUJ\ GLVWULEXWLRQ LV VSUHDG DFURVV
WKH \HDU
0RQWK
-DQ )HE 0DU $SULO 0D\ -XQH -XO\ $XJ 6HS 2FW 1RY 'HF
RI DQQXDO
FRQVXPSWLRQ
NIBE™ F1226Chapter 2 | The heat pump the heart of the house18