EasyManua.ls Logo

Nibe F2015 - Page 36

Nibe F2015
44 pages
Print Icon
To Next Page IconTo Next Page
To Next Page IconTo Next Page
To Previous Page IconTo Previous Page
To Previous Page IconTo Previous Page
Loading...
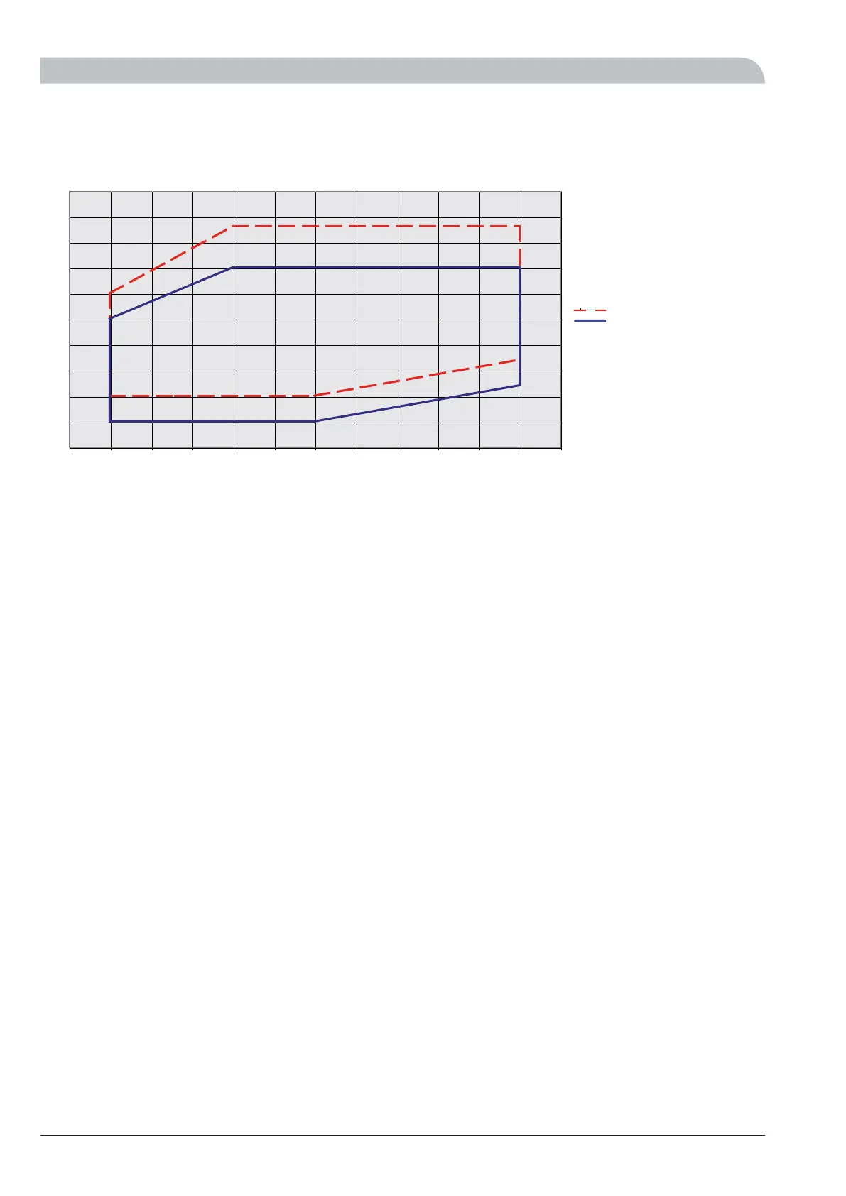
Working area
15
20
25
30
35
40
45
50
55
60
65
-20 -15 -10 -5 0 5 10 15 20 25 30 35 40
:DWHU WHPSHUDWXUH
r&
r&
2XWGRRU DLU WHPSHUDWXUH
6XSSO\ WHPSHUDWXUH
5HWXUQ WHPS
During shorter time it is allowed to have lower working temperatures on the water side, e.g. during start up.
F201534
Miscellaneous
Technical specifications

Table of Contents

Related product manuals